中国工程建设协会标准
实心与空心钢管混凝土结构技术规程
Technical specification for solid and hollow
concrete-filled steel tubular structure
CECS 254:2012
主编单位:哈尔滨工业大学
批准单位:中国工程建设标准化协会
施行日期:2012年10月1日
中国工程建设标准化协会公告
第111号
关于发布《实心与空心钢管混凝土结构技术规程》的公告
根据中国工程建设标准化协会建标协字[2010]91号文《关于印发<2010年第二批工程建设协会标准制订、修订计划>的通知》的要求,由哈尔滨工业大学等单位全面修订的《实心与空心钢管混凝土结构技术规程》,经本协会轻型钢结构专业委员会组织审查,现批准发布,编号为CECS 254:2012,自2012年10月1日起施行。原《空心钢管混凝土结构技术规程》为CECS 254:2009同时废止。
中国工程建设标准化协会
二〇一二年六月二十六日
前言
根据中国工程建设标准化协会建标协字[2010]91号文《关于印发<2010年第二批工程建设协会标准制订、修订计划>的通知》的要求,由哈尔滨工业大学会同有关单位在《空心钢管混凝土结构技术规程》CECS 254:2009的础上进行修订而成的。
本规程共分8章和3个附录,主要技术内容包括:总则,术语和符号,材料,基本设计规定,钢管混凝土承重构件设计和刚度计算,构造要求和节点设计,钢管混凝土构件的加工制作与施工,防火设计等。
本规程修订的主要技术内容是:1、增加了实心钢管混凝土构件的设计,采用了统一理论的思想,把实心和空心钢管混凝土构件的设计统一起来;2、补充了高层施工对钢管混凝土构件承载力的影响;3、修改了钢管混凝土构件的组合抗剪强度设计公式;4、修改了钢管混凝土组合剪变刚度的计算公式;5、补充了钢管混凝土柱抗汽车撞击力的验算;6、补充了椭圆形钢管混凝土构件设计;7、修改了单肢钢管混凝土构件在压、弯、扭、剪共同作用承载力计算公式;8、增加了再生钢管混凝土构件的承载力设计公式;9、修改了空心钢管混凝土柱地震设计时的轴压比限制;10、补充了海砂钢管混凝土的应用规定;11、修改了钢管混凝土构件的防火设计公式。
根据原国家计委计标[1986]1649号文《关于请中国工程建设标准化委员会负责组织推荐性工程建设标准试点工作的通知》的要求,推荐给工程建设设计、施工等使用单位及工程技术人员采用。
本规程由中国工程建设标准化协会轻型钢结构专业委员会CECS/TC28(武汉市武昌中南二路10号,中南建筑设计院股份有限公司,邮政编码:400071)归口管理,由哈尔滨工业大学深圳研究生院(广东深圳南山区西丽大学城哈工大研究生院E401,邮编518055)负责解释。在使用过程中如发现需修改或补充之处,请将意见和资料径寄解释单位。
主编单位:哈尔滨工业大学
参编单位:中南建筑设计院股份有限公司
厦门中福元建筑设计研究院
深圳市市政设计研究院有限公司
上海中技桩业股份有限公司
中国建筑第五工程局有限公司
中建钢构有限公司
奥雅纳工程顾问有限公司
主要起草人:查晓雄 钟善桐
(以下按姓氏笔画为序)
王宏 王成武 王玉银 刘曙 江民 尧国皇 余敏 李春田 陈礼建 陈宜言 杨末雨 林奉军 和雪峰 赵源畴 徐国林 徐厚军 钟华 姜瑞娟 高军峰 戴立先
主要审查人:周绪红 樊小卿 肖从真 白国良 韦灼彬 陈宝春 鲍广鉴
1 总则
1.0.1 为使钢管混凝土结构的设计、加工与施工贯彻执行国家的技术经济政策,做到技术先进、经济合理、安全适用、确保质量,制定本规程。
1.0.2 本规程适用于采用钢管混凝土结构的工业与民用房屋结构、送电变电构架、风力发电机组塔架、微波塔及基础桩等的设计、加工制作及施工。
1.0.3 本规程采用现行国家标准《建筑结构可靠度设计统一标准》GB 50068制定,符号、计量单位和基本术语按符合现行国家标准《建筑结构术语和符号标准》GB/T 50083的规定。
1.0.4 实心与空心钢管混凝土设计、施工,除应符合本规程外,尚应符合国家现行有关标准的规定。
2 术语和符号
2.1 术语
2.1.1 钢管混凝土结构 concrete-filled steel tubular structures
(abbreviated as CFST structures)
采用钢管混凝土构件作为主要受力构件的结构,简称为CFST结构。
2.1.2 钢管混凝土构件 concrete-filled steel tubular members(abbreviated as CFST members)
在钢管内填充混凝土的构件,包括实心钢管混凝土和空心钢管混凝土构件,构件截面可为圆形、矩形及多边形。简称为CFST构件。
2.1.3 实心钢管混凝土构件 solid-concrete filled steel tubular members(abbreriated as S-CFST members)
钢管中填满混凝土的构件,简称为S-CFST构件。
2.1.4 实心圆形和正十六边形钢管混凝土构件 solid circular
CFST members and 16-sides CFST members外形为圆形和正十六边形的实心钢管混凝土构件。
2.1.5 实心正八边形钢管混凝土构件 solid octagonal CFST
members
外形为正八边形的实心钢管混凝土构件。
2.1.6 实心正方形钢管混凝土构件 solid square CFST
members
外形为正方形的实心钢管混凝土构件。
2.1.7 实心矩形钢管混凝土构件 solid rectangular CFST members
外形为矩形的实心钢管混凝土构件。
2.1.8 空心钢管混凝土构件 hollow-concrete filled steel tubular members(abbreviated as H-CFST members)
在空钢管中灌入一定量混凝土,在离心机上用离心力将混凝土密贴于钢管内壁,然后自然养护或蒸汽养护,制成中部空心的钢管混凝土构件,简称为H-CFST构件。
2.1.9 圆形和正十六边形空心钢管混凝土构件 circular and
16-sides H-CFST members
外形为圆形和正十六边形的空心钢管混凝土构件。
2.1.10 正八边形空心钢管混凝土构件 octagonal H-CFST
members
外形为正八边形的空心钢管混凝土构件。
2.1.11 正方形空心钢管混凝土构件 square H-CFST members
外形为正方形的空心钢管混凝土构件。
2.1.12 矩形空心钢管混凝土构件 rectangular H-CFST members
外形为矩形的空心钢管混凝土构件。
2.1.13 等效截面构件 equivalent section members
钢材和混凝土型号相同,钢管和混凝土的面积皆相等,只是截面形状不同的构件。
2.1.14 含钢率和空心率 steel ratio and hollow ratio
含钢率是构件截面中钢管的面积与混凝土的面积之比。空心率是构件截面中空心部分的面积与混凝土加空心部分面积之比。
2.1.15 组合抗压强度标准值和组合抗压强度设计值 characteristic value of composite compressive srength and design value of composite compressive srength
钢管混凝土构件视为是钢管和混凝土合成为单一组合材料的统一体,这种组合材料的抗压标准强度和设计强度。
2.1.16 组合截面面积 composite area of cross-section
钢管混凝土构件视为统一体,钢管和混凝土的截面总面积。
2.1.17 组合惯性矩 composite moment of inertia
钢管混凝土构件视为统一体,钢管和混凝土组合截面对中和轴的惯性矩。
2.1.18 组合轴压刚度 composite compression rigidity
钢管混凝土构件视为统一体,组合弹性模量和组合面积的乘积。
2.1.19 组合抗弯刚度 composite bending rigidity
钢管混凝土构件视为统一体,组合抗弯弹性模量和组合惯性矩的乘积。
2.1.20 格构式实心钢管混凝土构件 latticed solid CFST
members
两个、三个、四个或更多的实心钢管混凝土构件,用缀条或缀板连接组成的构件。
2.1.21 格构式空心钢管混凝土构件 latticed H-CFST、members
两个、三个、四个或更多的空心钢管混凝土构件,用缀条或缀板连接组成的构件。
2.1.22 钢管海砂混凝土 sea sand concrete filled steel tube
采用海砂混凝土的钢管混凝土。
2.1.23 钢管再生混凝土 recycled concrete filled steel tube
采用再生混凝土的钢管混凝土。
2.1.24 椭圆形钢管混凝土 elliptic CFST
外形为椭圆形的钢管混凝土。
2 术语和符号
2.1 术语
2.1.1 钢管混凝土结构 concrete-filled steel tubular structures
(abbreviated as CFST structures)
采用钢管混凝土构件作为主要受力构件的结构,简称为CFST结构。
2.1.2 钢管混凝土构件 concrete-filled steel tubular members(abbreviated as CFST members)
在钢管内填充混凝土的构件,包括实心钢管混凝土和空心钢管混凝土构件,构件截面可为圆形、矩形及多边形。简称为CFST构件。
2.1.3 实心钢管混凝土构件 solid-concrete filled steel tubular members(abbreriated as S-CFST members)
钢管中填满混凝土的构件,简称为S-CFST构件。
2.1.4 实心圆形和正十六边形钢管混凝土构件 solid circular
CFST members and 16-sides CFST members外形为圆形和正十六边形的实心钢管混凝土构件。
2.1.5 实心正八边形钢管混凝土构件 solid octagonal CFST
members
外形为正八边形的实心钢管混凝土构件。
2.1.6 实心正方形钢管混凝土构件 solid square CFST
members
外形为正方形的实心钢管混凝土构件。
2.1.7 实心矩形钢管混凝土构件 solid rectangular CFST members
外形为矩形的实心钢管混凝土构件。
2.1.8 空心钢管混凝土构件 hollow-concrete filled steel tubular members(abbreviated as H-CFST members)
在空钢管中灌入一定量混凝土,在离心机上用离心力将混凝土密贴于钢管内壁,然后自然养护或蒸汽养护,制成中部空心的钢管混凝土构件,简称为H-CFST构件。
2.1.9 圆形和正十六边形空心钢管混凝土构件 circular and
16-sides H-CFST members
外形为圆形和正十六边形的空心钢管混凝土构件。
2.1.10 正八边形空心钢管混凝土构件 octagonal H-CFST
members
外形为正八边形的空心钢管混凝土构件。
2.1.11 正方形空心钢管混凝土构件 square H-CFST members
外形为正方形的空心钢管混凝土构件。
2.1.12 矩形空心钢管混凝土构件 rectangular H-CFST members
外形为矩形的空心钢管混凝土构件。
2.1.13 等效截面构件 equivalent section members
钢材和混凝土型号相同,钢管和混凝土的面积皆相等,只是截面形状不同的构件。
2.1.14 含钢率和空心率 steel ratio and hollow ratio
含钢率是构件截面中钢管的面积与混凝土的面积之比。空心率是构件截面中空心部分的面积与混凝土加空心部分面积之比。
2.1.15 组合抗压强度标准值和组合抗压强度设计值 characteristic value of composite compressive srength and design value of composite compressive srength
钢管混凝土构件视为是钢管和混凝土合成为单一组合材料的统一体,这种组合材料的抗压标准强度和设计强度。
2.1.16 组合截面面积 composite area of cross-section
钢管混凝土构件视为统一体,钢管和混凝土的截面总面积。
2.1.17 组合惯性矩 composite moment of inertia
钢管混凝土构件视为统一体,钢管和混凝土组合截面对中和轴的惯性矩。
2.1.18 组合轴压刚度 composite compression rigidity
钢管混凝土构件视为统一体,组合弹性模量和组合面积的乘积。
2.1.19 组合抗弯刚度 composite bending rigidity
钢管混凝土构件视为统一体,组合抗弯弹性模量和组合惯性矩的乘积。
2.1.20 格构式实心钢管混凝土构件 latticed solid CFST
members
两个、三个、四个或更多的实心钢管混凝土构件,用缀条或缀板连接组成的构件。
2.1.21 格构式空心钢管混凝土构件 latticed H-CFST、members
两个、三个、四个或更多的空心钢管混凝土构件,用缀条或缀板连接组成的构件。
2.1.22 钢管海砂混凝土 sea sand concrete filled steel tube
采用海砂混凝土的钢管混凝土。
2.1.23 钢管再生混凝土 recycled concrete filled steel tube
采用再生混凝土的钢管混凝土。
2.1.24 椭圆形钢管混凝土 elliptic CFST
外形为椭圆形的钢管混凝土。
2.2 符号
2.2.1 作用、作用效应和抗力
Ntb、Ncb、Nvb——一个普通螺栓或高强度螺栓的受拉、承压、受剪承载力设计值;
N、Nt、M、T、V——轴向压力、拉力、弯矩、扭矩、剪力设计值;
N0、Nut、M0、T0、V0——钢管混凝土构件轴心受压、轴心受拉、受弯、受扭、受剪承载力设计值;
NE——欧拉临界力;
Nl——局部作用的轴向压力设计值;
Nul——钢管混凝土柱的局部受压承载力设计值。
2.2.2 材料性能和抗力
Bsc、Bscm——钢管混凝土构件截面的组合轴压弹性刚度、组合抗弯弹性刚度;
BG、BT——钢管混凝土构件组合剪变刚度、组合抗扭刚度;
Es、Ec——钢材、混凝土的弹性模量;
Est——钢材的切线模量;
Esc、Escm——钢管混凝土构件的组合弹性模量、组合抗弯弹性模量;
Gss——实心钢管混凝土构件组合剪变模量;
Gs——钢材的剪变模量;
f——钢材的抗拉、抗压和抗弯强度设计值;
fy——钢材的抗拉、抗压和抗弯强度标准值;
fck、fc——混凝土的抗压强度标准值、设计值;
ftk、ft——混凝土的轴心抗拉强度标准值、设计值;
fce——钢材端面承压(刨平顶紧)强度设计值;
fysc、fsc——钢管混凝土的组合抗压强度标准值、设计值;
fsv——钢管混凝土的组合抗剪强度设计值;
fwt、fwc、fww——对接焊缝的抗拉强度、抗压强度、抗剪强度设计值;
ffw——角焊缝的抗拉、抗压和抗剪强度设计值;
ftb、fbb、fcb——螺栓的抗拉、抗剪、承压强度设计值。
2.2.3 几何参数
Asc——实心或空心钢管混凝土构件的组合截面面积,即钢管面积和管内混凝土面积之和;
As、Ac、Ah——钢管、管内混凝土、管内空心部分的面积;
Al——局部受压面积;
Ab——混凝土局部受压计算底面积;
D——圆形截面的直径;
e——作用荷载的偏心距;
Isc、Is、Ic——钢管混凝土构件、钢管、管内混凝土的截面惯性矩;
isc——钢管混凝土构件的组合截面回转半径;
L0——受压构件的计算长度;
Le——柱的等效计算长度或拱肋的等效计算长度;
r0——圆钢管混凝土构件的截面半径;
rco、rci——管内混凝土的外半径、内半径;
t ——钢管的厚度;
Wsc、Ws、Wc——钢管混凝土构件组合截面、钢管、管内混凝土的截面模量;
λsc——钢管混凝土构件的组合长细比,等于构件的计算长度与组合截面的回转半径之比;
λsc——钢管混凝土构件的折算长细比;
λx——钢管混凝土构件绕 x 轴的长细比;
λy——钢管混凝土构件绕 y 轴的长细比;
λox——格构式钢管混凝土构件绕 x 轴的换算长细比;
λoy——格构式钢管混凝土构件绕y轴的换算长细比;
λ1——格构式钢管混凝土构件的单肢长细比。
2.2.4 计算系数
αsc——钢管混凝土构件的含钢率;
θ——钢管混凝土构件的套箍系数;
Ψ——空心率,即空心部分的面积与混凝土的面积加空心部分的面积之和的比值;
φ——轴心受压构件稳定系数;
φl——考虑长细比影响的承载力折减系数;
φe——考虑偏心率影响的承载力折减系数;
γRE——抗震调整系数;
γ0——结构重要性系数。
3 材料
3.1 钢材
3.1.1 钢管可采用Q235和Q345钢材,也可采用Q390和Q420钢材。一般构件可采用B级钢,在-30℃以上共作的柱子和塔架,可采用B级钢;在低于-30℃工作的塔架结构,应采用C级钢。
钢材质量应符合现行国家标准《碳素结构钢》GB/T 700和《低合金高强度结构钢》GB/T 1591的规定。当有可靠根据时,可采用其他牌号的钢材。
钢管可采用耐候钢,其质量要求应符合现行国家标准《焊接结构用耐候钢》GB/T 4172的规定。
3.1.2 承重结构的圆钢管宜优先选用直缝焊接圆钢管,其技术要求与力学性能应符合现行国家标准《冷弯型钢》GB/T 6725与《直缝电焊钢管》GB/T 13793中的规定,不宜选用流体用的螺旋焊管。当有可靠依据时,可选用热轧无缝钢管。
承重结构的冷成型矩形钢管,其材质、材性等要求应符合现行行业标准《建筑结构冷弯矩形钢管》JG/T 178中Ⅰ级产品的规定。
冷弯矩形钢管用于直接承受动荷载或低温环境时,宜经专门论证后采用。
3.1.3 钢材的强度设计值 f 、弹性模量Es和剪变模量Gs应按现行国家标准《钢结构设计规范》GB 50017采用。
3.1.4 抗震设计时,钢管混凝土结构的钢材应符合下列规定:
1 钢材的屈服强度实测值与抗拉强度实测值的比值不应大于0.85;
2 钢材应有明显的屈服台阶,且伸长率不应小于20%;
3 钢材应有良好的可焊性和合格的冲击韧性。
3 材料
3.1 钢材
3.1.1 钢管可采用Q235和Q345钢材,也可采用Q390和Q420钢材。一般构件可采用B级钢,在-30℃以上共作的柱子和塔架,可采用B级钢;在低于-30℃工作的塔架结构,应采用C级钢。
钢材质量应符合现行国家标准《碳素结构钢》GB/T 700和《低合金高强度结构钢》GB/T 1591的规定。当有可靠根据时,可采用其他牌号的钢材。
钢管可采用耐候钢,其质量要求应符合现行国家标准《焊接结构用耐候钢》GB/T 4172的规定。
3.1.2 承重结构的圆钢管宜优先选用直缝焊接圆钢管,其技术要求与力学性能应符合现行国家标准《冷弯型钢》GB/T 6725与《直缝电焊钢管》GB/T 13793中的规定,不宜选用流体用的螺旋焊管。当有可靠依据时,可选用热轧无缝钢管。
承重结构的冷成型矩形钢管,其材质、材性等要求应符合现行行业标准《建筑结构冷弯矩形钢管》JG/T 178中Ⅰ级产品的规定。
冷弯矩形钢管用于直接承受动荷载或低温环境时,宜经专门论证后采用。
3.1.3 钢材的强度设计值 f 、弹性模量Es和剪变模量Gs应按现行国家标准《钢结构设计规范》GB 50017采用。
3.1.4 抗震设计时,钢管混凝土结构的钢材应符合下列规定:
1 钢材的屈服强度实测值与抗拉强度实测值的比值不应大于0.85;
2 钢材应有明显的屈服台阶,且伸长率不应小于20%;
3 钢材应有良好的可焊性和合格的冲击韧性。
3.2 混凝土
3.2.1 钢管内的混凝土强度等级不应低于C30。混凝土的抗压强度和弹性模量应按现行国家标准《混凝土结构设计规范》GB
50010采用,当采用C80以上高强混凝土时,应有可靠的依据。
3.2.2 实心钢管混凝土构件中可采用海砂混凝土。海砂混凝土的配合比设计、施工和质量检验和验收应按现行行业标准《海砂混凝土应用技术规范》JGJ 206有关规定执行,其抗压强度和弹性模量应和普通混凝土相同。
3.2.3 钢管混凝土构件中可采用再生骨料混凝土。再生混凝土骨料选用和要求应符合现行国家标准《混凝土用再生粗骨料》GB/T
25177和《混凝土和砂浆用再生细骨料》GB/T 25176的有关规定;
再生混凝土的配合比设计、施工和质量检验和验收应按《再生骨料应用技术规程》JGJ/T 240的有关规定执行。再生混凝土的拌合物性能、力学性能、质量控制、抗压强度和弹性模量等应按现行国家标准《混凝土结构设计规范》GB 50010中相同强度等级混凝土的规定取值。
再生混凝土受压弹性模量Erc的确定应按照现行国家标准《普通混凝土力学性能试验方法标准》GB/T 50081提供的试验方法执行。在缺乏试验条件或试验资料时,可按表3.2.3取值。
表3.2.3 再生混凝土弹性模量(×104N/mm2)
强度等级 |
C30 |
C35 |
C40 |
C50 |
C60 |
|---|---|---|---|---|---|
弹性模量 |
2.42 |
2.53 |
2.63 |
2.76 |
2.88 |
3.2.4 钢管混凝土构件中可采用自密实混凝土。自密实混凝土的配合比设计、施工、质量检验和验收可按现行行业标准《自密实混凝土应用技术规程》JGJ/T 283的有关规定执行。
3.3 连接材料
3.3.1 用于钢管混凝土构件的焊接材料应符合下列要求:
1 手工焊接用的焊条应符合现行国家标准《碳钢焊条》GB/T 5117或《低合金钢焊条》GB/T 5118的规定。选择的焊条型号应与被焊钢材的力学性能相适应。
2 自动或半自动焊接用的焊丝和焊剂应与被焊钢材相适应,并应符合国家现行有关标准的规定。
3 二氧化碳气体保护焊接用的焊丝应符合现行国家标准《气体保护电弧焊用碳钢、低合金钢焊丝》GB/T 8110的规定。
4 两种钢材相焊接时,宜采用与强度较低的钢材相适应的焊条或焊丝。
3.3.2 焊缝的强度设计值应按现行国家标准《钢结构设计规范》GB 50017采用。
3.3.3 用于钢管混凝土构件的连接紧固件应符合下列规定:
1 普通螺栓应符合现行国家标准《六角头螺栓-C级》GB/T 5780和《六角头螺栓-A级和B级》GB/T 5782的规定,宜采用4.6级和4.8级的C级螺栓。
2 高强度螺栓应符合现行国家标准《钢结构用高强度大六角头螺栓》GB/T 1228、《钢结构用高强大六角螺母》GB/T 1229、《钢结构用高强度垫圈》GB/T 1230、《钢结构用高强大六角头螺栓、大六角螺母、垫圈技术条件》GB/T 1231或《钢结构用扭剪型高强度螺栓连接副》GB/T 3632的规定。高强度螺栓的预应力和摩擦面的抗滑移系数应按现行国家标准《钢结构设计规范》GB 50017选用。
3 栓钉应符合现行国家标准《圆柱头焊钉》GB/T 10433的规定。用于栓钉的钢材屈服强度不应低于235N/mm2。
3.3.4 钢管混凝土结构中的普通螺栓连接和高强度螺栓连接的强度设计值,应按现行国家标准《钢结构设计规范》GB 50017的规定采用。
4 基本设计规定
4.1 一般规定
4.1.1 本规程除疲劳计算外,结构计算采用以概率理论为基础的极限状态设计方法,用分项系数设计表达式进行计算。
4.1.2 空心钢管混凝土构件的钢管外径(圆管直径、多边形和正方形的外接圆直径)不宜小于168mm,壁厚不宜小于3mm。空心变截面杆小端外径不宜小于130mm,壁厚不宜小于3mm,(空心钢管混凝土各种截面形常数宜符合本规程附录A的规定)。实心钢管混凝土构件的钢管外径或边长不宜小于100mm,壁厚不宜小于3 mm。
4.1.3 实心和空心钢管混凝土轴心受压和小偏心受压构件:圆形和正十六边形的钢管外径与壁厚之比D/t不应大于135
,矩形截面的边长和壁厚比B/t不应大于60
;变电构架中的受弯构件:圆形和正十六边的钢管外径与壁厚之比D/t不应大于177
,矩形截面的边长和壁厚比B/t不应大于135
。
4.1.4 构件的容许长细比[λ]不宜超过表4.1.4的限值。
表4.1.4 构件的容许长细比[λ]
结构名称 |
[λ] |
|
|---|---|---|
房屋框架柱 |
80 |
|
框架-支撑结构中的钢管混凝土支撑 |
120 |
|
格构式柱受压腹杆 |
150 |
|
受拉构件 |
200 |
|
送变电格构式构筑物 |
主杆或弦杆 |
120 |
腹杆 |
200 |
|
减小受压杆长 |
250 |
|
拉杆 |
400 |
|
4.1.5 钢构件与钢管混凝土构件之间的连接,以及钢管混凝土结构施工安装阶段(浇筑混凝土前和混凝土终凝前)钢管的强度、变形和稳定性应按钢构件验算。
4.1.6 实心钢管混凝土构件常用含钢率宜为6%~10%,混凝土强度等级宜为C40~C60;空心钢管混凝土构件常用含钢率宜为5%~15%,混凝土强度等级宜为C30~C40。
4.1.7 空心钢管混凝土构件的空心率Ψ不宜小于0.25,且不宜大于0.75,有抗震设防时,尚不应大于本规程表4.4.5限值。
4.1.8 钢管混凝土单肢构件宜用作轴心受压或轴压力偏心较小的构件;当轴压力偏心较大时,可采用钢管混凝土格构式构件。
4.1.9 工业与民用房屋建筑中,钢管混凝土构件宜满足下列要求:
1 实心与空心钢管混凝土构件套箍系数设计值θsc宜为0.6~2.0。当有抗震设防要求时θsc,宜大于1.0,套箍系数设计值θsc可按本规程相关条文规定计算。
2 实心钢管混凝土构件的长径比L/D不宜大于20,长细比λ=L/i不宜大于80。当有抗震设防要求时,L/D不宜大于15,λ不宜大于60,其中 L 和 i 分别为钢管混凝土构件的净长和回转半径,D 为钢管的外径尺寸。
3 实心圆钢管径厚比D/t宜为20~100,D 和 t 分别为钢管外径和壁厚;对一般承重柱,采用普通混凝土时,D/t可取70左右,采用高强混凝土时,D/t可取50。
4 基本设计规定
4.1 一般规定
4.1.1 本规程除疲劳计算外,结构计算采用以概率理论为基础的极限状态设计方法,用分项系数设计表达式进行计算。
4.1.2 空心钢管混凝土构件的钢管外径(圆管直径、多边形和正方形的外接圆直径)不宜小于168mm,壁厚不宜小于3mm。空心变截面杆小端外径不宜小于130mm,壁厚不宜小于3mm,(空心钢管混凝土各种截面形常数宜符合本规程附录A的规定)。实心钢管混凝土构件的钢管外径或边长不宜小于100mm,壁厚不宜小于3 mm。
4.1.3 实心和空心钢管混凝土轴心受压和小偏心受压构件:圆形和正十六边形的钢管外径与壁厚之比D/t不应大于135
,矩形截面的边长和壁厚比B/t不应大于60
;变电构架中的受弯构件:圆形和正十六边的钢管外径与壁厚之比D/t不应大于177
,矩形截面的边长和壁厚比B/t不应大于135
。
4.1.4 构件的容许长细比[λ]不宜超过表4.1.4的限值。
表4.1.4 构件的容许长细比[λ]
结构名称 |
[λ] |
|
|---|---|---|
房屋框架柱 |
80 |
|
框架-支撑结构中的钢管混凝土支撑 |
120 |
|
格构式柱受压腹杆 |
150 |
|
受拉构件 |
200 |
|
送变电格构式构筑物 |
主杆或弦杆 |
120 |
腹杆 |
200 |
|
减小受压杆长 |
250 |
|
拉杆 |
400 |
|
4.1.5 钢构件与钢管混凝土构件之间的连接,以及钢管混凝土结构施工安装阶段(浇筑混凝土前和混凝土终凝前)钢管的强度、变形和稳定性应按钢构件验算。
4.1.6 实心钢管混凝土构件常用含钢率宜为6%~10%,混凝土强度等级宜为C40~C60;空心钢管混凝土构件常用含钢率宜为5%~15%,混凝土强度等级宜为C30~C40。
4.1.7 空心钢管混凝土构件的空心率Ψ不宜小于0.25,且不宜大于0.75,有抗震设防时,尚不应大于本规程表4.4.5限值。
4.1.8 钢管混凝土单肢构件宜用作轴心受压或轴压力偏心较小的构件;当轴压力偏心较大时,可采用钢管混凝土格构式构件。
4.1.9 工业与民用房屋建筑中,钢管混凝土构件宜满足下列要求:
1 实心与空心钢管混凝土构件套箍系数设计值θsc宜为0.6~2.0。当有抗震设防要求时θsc,宜大于1.0,套箍系数设计值θsc可按本规程相关条文规定计算。
2 实心钢管混凝土构件的长径比L/D不宜大于20,长细比λ=L/i不宜大于80。当有抗震设防要求时,L/D不宜大于15,λ不宜大于60,其中 L 和 i 分别为钢管混凝土构件的净长和回转半径,D 为钢管的外径尺寸。
3 实心圆钢管径厚比D/t宜为20~100,D 和 t 分别为钢管外径和壁厚;对一般承重柱,采用普通混凝土时,D/t可取70左右,采用高强混凝土时,D/t可取50。
4.2 结构类型与布置
4.2.1 实心与空心钢管混凝土结构可适用于表4.2.1所列结构类型。
表4.2.1 实心与空心钢管混凝土结构的适用结构类型
结构类型 |
说明 |
|---|---|
框架结构 |
1 框架结构指柱采用实心与空心钢管混凝土构件,梁采用钢梁、钢筋混凝土梁或钢-混凝土组合梁。 |
框架-剪力墙结构 |
|
框架-核心简结构 |
|
框架-支撑结构 |
|
筒中筒结构 |
|
部分框支-剪力墙结构 |
|
杆塔构筑物结构 |
|
管桩基础 |
4.2.2 工业与民用建筑采用实心与空心钢管混凝土结构时,其建筑形体、结构体系、构件布置、结构材料及抗震设防标准,应符合国家现行标准《建筑抗震设计规范》GB 50011、《建筑工程抗震设防分类标准》GB 50223、《高层建筑混凝土结构技术规程》JGJ 3和《高层民用建筑钢结构技术规程》JGJ 99的有关规定。
4.2.3 工业与民用建筑采用实心与空心钢管混凝土结构时,框架梁宜采用钢梁或钢-混凝土组合梁,楼板宜采用现浇钢-混凝土组合楼板,也可采用现浇钢筋混凝土楼盖。对抗震设防烈度为6、7度区且高度不超过50m的结构,可采用装配整体式钢筋混凝土楼板或其他轻型楼盖,但应将楼板预埋件与钢梁焊接,或采取其他保证楼盖整体性的连接措施。
4.2.4 部分框支剪力墙结构的实心钢管混凝土框支柱应从基础顶面伸至转换层,并应与转换构件连接;当结构总高度接近本规程最大适用高度时,所含钢管混凝土柱的高度尚不宜低于结构高度的1/2,在钢管混凝土柱与钢筋混凝土柱或钢柱的交接层,应采取有效的过渡加强措施。
4.2.5 高层建筑采用空心钢管混凝土结构时,底层柱以下的1/3高度范围内,空心钢管混凝土内应填满混凝土形成实心钢管混凝土柱,且不考虑填满混凝土的承载力。
4.3 房屋适用高度和高宽比
4.3.1 采用实心与空心钢管混凝土结构的工业与民用建筑,应根据现和国家标准《建筑工程抗震设防分类标准》GB 50223确定其抗震设防分类,其中乙类和丙类建筑的最大适用高度宜符合表4.3.1-1、表4.3.1-2的规定。
表4.3.1-1 实心钢管混凝土结构的最大适用高度(m)

注:1 房屋高度指室外地面至房屋主要屋面的高度,不包括突出屋面的电梯机房、水箱、构架等高度;
2 对于平面和竖向均不规则的结构,表中最大适用高度宜适当降低;
3 甲类建筑,6、7、8度时宜按本地区设防烈度提高一度后符合本表的规定,9度时应专门研究;
4 房屋高度超过表中数值时,结构设计应进行专门研究和论证,并采取有效措施;
5 框架-核心筒及筒中筒结构采用钢梁、钢-混凝土组合梁及型钢混凝土梁时,按表中确定最大适用高度;当采用钢筋混凝土梁时,最大适用高度按照钢筋混凝土结构确定。
表4.3.1-2 空心钢管混凝土结构的最大适用高度(m)

注:1 房屋高度指室外地面至主要屋面高度,不包括局部突出屋面的电梯机房、水箱、构架等高度。
2 当建筑底部h高度(h≤H/3)范围采用实心钢管混凝土柱时,表中最大适用高度尚可增加h高度。
3 对于平面和竖向均不规则的结构,最大适用高度宜适当降低。
4 楼盖采用现浇钢筋混凝土梁板时,最大适用高度宜适当降低。
5 甲类建筑6、7、8度时,可按本地区抗震设防烈度提高一度后符合本表规定,9度时应专门研究。
6 房屋高度超过本表高度数值时,结构设计应有可靠依据并采取有效措施。
7 空心钢管混凝土结构用于格构式构架结构时,高度不受限制。
4.3.2 工业与民用建筑采用实心与空心钢管混凝土结构时,其适用最大高宽比不宜超过表4.3.2-1、4.3.2-2的规定。
表4.3.2-1 实心钢管混凝土结构最大适用高宽比

表4.3.2-2 空心钢管混凝土结构最大适用高宽比

注:当塔形建筑的底部有大底盘时,高宽比采用的高度应从大底盘顶部算起。
4.4 结构设计原则与抗震等级
4.4.1 实心与空心钢管混凝土结构在竖向荷载、吊车荷载、风荷载等荷载和多遇地震作用下的内力和位移计算、抗风抗震验算及性能化设计,应按国家现行标准《建筑结构荷载规范》GB 50009、《建筑抗震设计规范》GB 50011、《高层建筑混凝土结构技术规程》JGJ 3和《高层民用建筑钢结构技术规程》JGJ 99的有关规定执行,并应满足相关抗震措施要求,其中实心与空心钢管混凝土构件部分尚应满足本规程有关抗震措施要求。采用钢管混凝土的杆塔结构的内力及位移计算应遵守《高耸结构设计规范》GB 50135和《构筑物抗震设计规范》GB 50191等的有关规定。
4.4.2 有抗震设防的实心与空心钢管混凝土结构及相关混合结构,应根据抗震设防烈度、结构类型和房屋高度按表4.4.2-1和表4.4.2-2确定构件抗震等级,并应符合相应抗震计算与构造措施要求。
表4.4.2-1 实心钢管混凝土结构房屋的抗震等级

注:1 表中特一、一、二、三、四级即为抗震等级的简称;
2 框架中的钢梁、钢支撑、钢管混凝土支撑抗震等级可钢结构构件的确定;
3 接近或等于高度分界时,允许结合房屋不规则程度及场地、地基条件确定抗震等级;
4 当框架-核心筒的高度不超过60m时,其抗震等级允许按照按框架-剪力墙结构采用;
5 乙类建筑及Ⅲ、Ⅳ类场地且设计基本地震加速度为0.15g和0.30g地区的丙类建筑,当高度超过对应的适用高度时,应采用特一级的抗震构造措施;
6 框架-核心筒及筒中筒结构采用钢梁、钢-混凝土组合梁及型钢混凝土梁时,按表中确定抗震等级;当采用钢筋混凝土梁时,抗震等级按照钢筋混凝土结构确定。
表4.4.2-2 空心钢管混凝土结构房屋抗震等级

注:1 框架抗震等级适用于空心钢管混凝土柱,钢筋或型钢混凝土梁,框架中的钢梁、钢支撑抗震等级可按钢结构构件确定。
2 接近或等于高度分界时,允许结合房屋不规则程度及场地、地基条件确定抗震等级。
4.4.3 抗震设计时,实心钢管混凝土柱的设计轴压比的相关限值宜符合表4.4.3的规定。
表4.4.3 实心钢管混凝土构件设计轴压比的相关限值

注:方形和矩形截而按等效圆截面直径和计算长度计算长细比。
4.4.4 抗震设计时,空心钢管混凝土柱的设计轴压比不宜超过表4.4.4限值。轴压比指柱考虑地震作用组合的轴压力设计值与空心钢管混凝土构件面积与其组合抗压强度设计值乘积的比值。
表4.4.4 空心钢管混凝土柱设计轴压比限值

4.4.5 抗震设计的空心钢管混凝土柱空心率Ψ不应大于表4.4.5限值。
表4.4.5 空心钢管混凝土柱空心率Ψ限值

注:空心再生钢管混凝土的抗震性能同相应晋通空心钢管混凝土。
4.4.6 部分框支剪力墙结构中采用实心钢管混凝土框支柱时,应符合下列规定:
1 框支柱应从基础顶面伸至转换层,并应与转换构件连接;
2 地面以上大空间层数:8度时不宜大于4层,7度时不宜大于6层,6度时其层数可适当增加。
4.4.7 抗震设计时,当采用实、空心钢管混凝土框架-剪力墙(筒)结构,其钢管混凝土框架所承担的地震剪力不应小于结构底部总剪力的20%和框架部分各楼层地震剪力最大值的1.5倍,二者中的较小值。对框架-核心筒结构,当计算分析的框架部分的各楼层地震剪力最大值小于结构底部总剪力的10%时,各层框架部分承担的地震剪力应增大到结构底部总剪力的15%,各层核心筒墙体地震剪力应乘以1.1,且不应大于基底剪力。墙体抗震构造措施应按抗震等级提高一级后采用,已为特一级的可不再提高。
4.4.8 钢管混凝土框架-剪力墙结构在基本振型的地震作用下,当框架部分承担的地震倾覆力矩大于结构总倾覆力矩的50%时,其框架部分的抗震等级和轴压比限值宜按框架结构确定,最大适用高度可比框架结构适当增加。当框架地震倾覆力矩大于结构总倾覆力矩的80%时,最大适用高度宜按钢管混凝土框架结构确定,侧移限值宜按框剪结构确定。
4.4.9 在多遇地震作用下,实心与空心钢管混凝土结构的阻尼比,当采用钢梁和组合楼盖时,可按表4.4.9并依据实际情况确定,钢管混凝土结构在罕遇地震作用下的结构阻尼比可为0.05。
表4.4.9 多遇地震下实(空)心钢管混凝土结构阻尼比

注:当采用钢筋混凝土梁时,相应结构阻尼比司按表中数值增加0.005。
4.4.10 抗震设计时,实心与空心钢管混凝土框架角柱的组合弯矩设计值和剪力设计值,应乘以不小于1.1的增大系数。
4.4.11 在采用钢管混凝土框架-核心筒的结构体系中,外围框架平面内钢管混凝土柱与梁的连接,在抗震设防烈度7度及以上地区应采用刚接,楼面梁与钢筋混凝土筒体的连接可采用刚接或铰接。
4.4.12 采用实心与空心钢管混凝土结构的多、高层建筑无地下室时,钢管混凝土柱应采用埋入式柱脚,当设置地下室且钢管混凝土框架柱伸至地下一层时,宜采用埋入式柱脚,也可采用外包式柱脚(钢管混凝土柱外包混凝土并配一些钢筋加以包裹),或外露式地脚螺栓锚固式柱脚。当有可靠依根据时,也可采用其它形式柱脚。
4.4.13 实心与空心钢管混凝土结构及相关混合结构在风荷载和多遇地震作用下,应按弹性方法计算的最大楼层层间位移与层高之比△u/h,且不宜大于表4.4.13的弹性层间位移角限值。
表4.4.13 钢管混凝土弹性层间位移与层高之比△u/h限值

注:1 对框架-剪力墙(核心筒)结构及筒中筒结构,当结构高度超过250m时,最大楼层层间位移与层高之比△u/h不宜大于1/500;对框架-剪力墙(核心筒)结构,当结构高度在150m~250m时,△u/h的限制在1/800到1/500之间插值;对筒中筒结构,当结构高度在150m~250m时,△u/h的限制在1/1000到1/500之间插值;
2 括号中值为效应空心钢管混凝土结构限制。
4.4.14 实心与空心钢管混凝土结构及相应混合结构在罕遇地震作用下的薄弱层弹塑性位移与层高比△u/h,不宜大于表4.4.14的限值。
表4.3.7 钢管混凝土结构弹塑性位移与层高之比△u/h限值

4.4.15 按有地震作用效应组合内力设计的实心与空心钢管混凝土结构,其相应构件的抗震调整系数γRE应按表4.4.15确定。
表4.4.15 承载力抗震调整系数γRE

4.4.16 房屋高度不小于150m的钢管混凝土筑结构应满足风振舒适度要求。在现行国家标准《建筑结构荷载规范》GB 50009规定的10年一遇的风荷载标准值作用下,结构顶点风振加速度限值alim(顺风向和横风向振动最大加速度计算值)不应超过表4.4.16的限值。结构顶点的顺风向最大加速度可按现行行业标准《高层民用建筑钢结构技术规程》JGJ 99的有关规定计算,横风向振动最大加速度可按现行国家标准《建筑结构荷载规范》GB 50009的有关规定计算,也可通过风洞试验结果判断确定,计算时阻尼比宜取0.01~0.02。
表4.4.16 结构顶点风振加速度限值alim

5 钢管混凝土承重构件设计和刚度计算
5.1 单肢钢管混凝土构件在单一受力下承载力和刚度计算
5.1.1 钢管混凝土轴心受压构件应符合下列规定:
1 组合强度设计值应按下列公式计算:

式中:As、Ac——钢管、管内混凝土的面积;
αsc——实心或空心钢管混凝土构件的含钢率,按公式5.1.1-2计算;
θ ——实心或空心钢管混凝土构件的套箍系数设计值按式5.1.1-3计算;
fy、f——钢材的受压强度标准值和设计值;
fck、fc——混凝土的受压强度标准值和设计值,对于空心构件,fck、fc均应乘以1.1;
B、C——截面形状对套箍效应的影响系数,按表5.1.1取值。
表5.1.1-1 截面形状对套箍效应的影响系数取值表

注:矩形截面应换算成等效四边形截面进行计算,等效四边形的边长为矩形截面的长短边边长的乘积的平方根。
实心钢管混凝土构件圆形和正十六边形、正八边形及正方形截面组合抗压强度设计值列入本规程附录B表B-1、表B-2和表B-3;空心钢管混凝土构件截面的抗压强度设计值列入本规程附录B表B-4、表B-5和表B-6。
管内混凝土可采用普通混凝土、海砂混凝土和再生混凝土。
2 钢管混凝土轴压构件的轴心受压承载力设计值应按下式计算:

式中:Asc——实心或空心钢管混凝土构件的组合截面面积,等于钢管和管内混凝土面积之和;
kc——混凝土徐变折减系数,可按表5.1.1-2取值;
k2——可靠度修正系数,按公式(5.1.1-5)和公式(5.1.1-6)计算。
可靠度修正系数应按下列公式计算:
1) 实心圆和正十六边形截面应按下式计算:

2) 其他实心和空心截面应按下式计算:

式中:αsc——实心或空心钢管混凝土构件的含钢率。
抗震设计时,实心和空心钢管混凝土轴心受压构件的承载力应按下式计算:

式中:N——考虑地震作用组合的轴心压力设计值;
γRE——抗震调整系数,应按本规程表4.4.15确定。
3 管内混凝土的徐变折减系数kc应符合下列规定:
对轴压构件和偏心率e/r0≤0.3的偏心受压构件,当承受永久荷载(这里认为永久性荷载施加时间在管内混凝土养护成熟之后)引起的轴心压力占全部轴心压力的30%及以上时,应考虑混凝土徐变的影响,将承载力乘以徐变折减系数kc,徐变折减系数kc按表5.1.1-2确定。e为荷载作用的偏心距;r0是构件的截面半径,非圆截面时,是等效圆截面的半径。
表5.1.1-2 徐变折减系数kc

注:空心率为O时,即实心钢管混凝土构件。混凝土A是C30和C40,混凝土B是C50,C60,C70和C80。
4 高层建筑和厂房建筑采用实心钢管混凝土构件,当先安装空钢管后浇灌混凝土时,钢管的初应力不应超过O.6倍的钢材强度设计值,同时考虑空钢管构件的稳定承载力。对于连续性施工,构件中混凝土龄期在9d前,构件所承受的荷载不应超过空钢管承载力的60%。
5.1.2 钢管混凝土构件的组合抗剪强度设计值和受剪、受扭承载力设计值应符合下列规定:
l 钢管混凝土构件的组合抗剪强度设计值按下列公式计算:
1) 实心截面:

2) 空心截面:

式中:V0——实心或空心钢管混凝土的受剪承载力设计值;
Asc——实心或空心钢管混凝土构件的截面面积,即钢管面积和混凝土面积之和;
Ψ——空心率,对于实心构件等于0;
Ac、Ah——分别为混凝土的面积和空心部分的面积;
fsv——钢管混凝土的受剪强度设计值,按下式计算:

2 钢管混凝土构件的受扭承载力设计值应按下列公式计算:
1) 实心截面:

2) 空心截面:

式中:T0——实心或空心钢管混凝土的受扭承载力设计值;
WT——对应实心钢管混凝土构件的截面受扭模量算;
r0——等效圆半径。圆形截面取钢管外半径,非圆形截面取按面积相等等效成圆形的外半径。
抗震设计时,空心和实心钢管混凝土构件的受剪和受扭承载力应分别按下列公式验算:

式中:V、T——分别是考虑地震作用组合的剪力和扭矩设计值。
5.1.3 钢管混凝土轴压组合弹性刚度应符合下列规定:
1 当计算钢管混凝土构件在复杂受力状态下的欧拉临界荷载时,钢管混凝土轴压组合弹性刚度应按下列公式计算:

式中:B——实心或空心钢管混凝土构件截面的组合轴压弹性刚度;
Bss——实心钢管混凝土构件截面的组合轴压弹性刚度;
Bh——空心钢管混凝土构件截面的组合轴压弹性刚度;
Esc——实心或空心钢管混凝土的组合弹性模量;
Ess——实心钢管混凝土的组合弹性模量;
Eh——空心钢管混凝土的组合弹性模量;
Asc——实心或空心钢管混凝土构件的组合截面面积,即钢管面积和管内混凝土面积之和;
Ass——实心钢管混凝土构件的组合截面面积,即钢管面积和管内混凝土面积之和;
Ash——空心钢管混凝土构件的组合截面面积,即钢管面积和管内混凝土面积之和;
fss——实心钢管混凝土的组合抗压强度设计值;
fh——空心钢管混凝土的组合抗压强度设计值;
kE——实心或空心钢管混凝土轴压弹性模量换算系数,其值应按表5.1.3确定。
公式(5.1.3-2)和公式(5.1.3-3)中的1.3fss和1.3fh是抗压强度标准值的近似值。
表5.1.3 轴压弹性模量换算系数kE值

2 当计算钢管混凝土构件弯曲状态下的变形时应符合下列规定:
1) 实心或空心钢管混凝土的组合弹性抗弯模量Escm应按下式计算:

2) 实心或空心钢管混凝土轴压构件的组合弹性抗弯刚度Bscm应按下列公式计算:

式中:αsc——实心或空心钢管混凝土构件的含钢率(实心时用α,空心时用αh);
As、Ac——钢管和混凝土的面积;
Is、Ic——钢管和混凝土部分的惯性矩;
Es、Ec——钢材和混凝土的弹性模量;
Esc——实心或空心钢管混凝土的组合轴压弹性模量;
Ess——实心钢管混凝土的组合轴压弹性模量;
Eh——空心钢管混凝土的组合轴压弹性模量;
Isc——实心或空心钢管混凝土构件的组合截面惯性矩;
Iss——实心钢管混凝土的组合惯性矩;
Ih——空心钢管混凝土的组合惯性矩。
3) 当构件截面出现受拉区时,组合截面惯性矩应按下式计算:

式中:Iosc——实心或空心钢管混凝土受弯构件考虑受拉区混凝土开裂时的截面组合惯性矩;
αsc——实心或空心钢管混凝土的含钢率。
5.1.4 钢管混凝土组合剪变刚度应按下式计算:

式中:BG——实心或空心钢管混凝土组合剪变刚度;
Gss——实心钢管混凝土的组合剪变模量,取值应按表5.1.4。其中含钢率对应实心构件的含钢率;
Ass——实心钢管混凝土构件的组合截面面积。
表5.1.4 实心钢管混凝土的组合剪变模量Gss

5.1.5 钢管混凝土轴心受拉时的组合承载力设计值应按下式计算:

式中:Nt——实心或空心钢管混凝土轴心受拉时的拉力设计值;
Cl——钢管受拉强度提高系数,实心截面时,Cl=1.1;空心截面时,Cl=1.0。
抗震设计时,实心或空心钢管混凝土轴心受拉构件承载力应按下式计算:

式中:N——考虑地震作用组合的轴心拉力设计值。
5.1.6 钢管混凝土构件在撞击荷载下承载力和变形验算应符合下列规定:
1 承载力验算应按下列公式计算:

式中:Fs——汽车撞击的等效静力荷载(kN);
Pu——柱构件的静力极限侧推承载力;
V——撞击速度(km/h);当无路况统计信息时,可取50km/h;
M——汽车的质量(ton),当无路况统计信息时,可按中型载重车,取7.7ton;
kb——边界条件系数,简支:kb=1;固铰:kb=3/2;固固:kb=2;
L——柱的长度;
Mu——塑性极限弯矩;
Ψ——构件的空心率;
M0——钢管混凝土在纯弯下的受弯承载力;
N——钢管混凝土柱所受的轴压力;
N0——钢管混凝土柱的轴压承载力设计值;
γm——抗弯构件的塑性发展系数,见本规程公式(5.3.1-5)。
2 变形验算应按下列公式计算:
最大变形

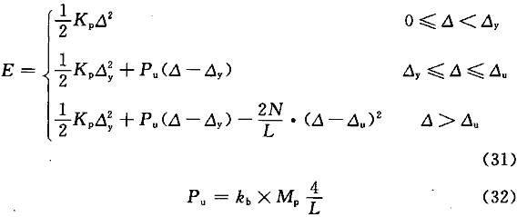
式中:△allow——构件允许的最大变形,根据设计要求取值,可取柱长的1/50;
△max——冲击下的构件的最大变形,结合耗能曲线和外界冲击能得到;
△y、△u——水平段起始点和终止点的位移;
E——柱吸收的冲击能;
Kp——初始刚度。
5.1.7 钢管混凝土柱轴压稳定承载力应按下列公式计算:

式中:fsc——实心或空心钢管混凝土构件的组合强度设计值;
Asc——组合截面面积;
φ——钢管混凝土轴心受压构件稳定系数,其值应按表5.1.7-1确定;表中λsc是各种构件的长细比,包括实心和空心的各种截面,分别是他们各自的计算长度除以回转半径。
对于再生钢管混凝土轴压构件的稳定承载力设计值应按下式计算:

式中:N0——钢管再生混凝土单肢承载力设计值;
Asc——钢管再生混凝土的截面面积;
fsc——钢管再生混凝土抗压强度设计值;
Erc——再生混凝土弹性模量;
Ec——和再生混凝土标号相同的普通混凝土的弹性模量。
抗震设计时,实心和空心钢管混凝土单肢柱轴心受压构件的稳定承载力应按下式计算:

表5.1.7-1 轴压构件稳定系数φ

对于拔梢杆,都是空心钢管混凝土构件,计算稳定承载力时,构件的长细比应按下式计算:

式中:Iscd——大端截面的截面惯性矩;
Ascd——大端截面的全截面面积;
λmax——按大端截面的回转半径和二端铰接杆计算的长细比;
L0——拔梢杆的计算长度;
β——修正系数,按表5.1.7-2取值。
根据长细比λsc查得轴压稳定系数φ,按下式计算承载力:

式中:Abh——拔梢杆的等效截面面积,取距离小端0.4L处的截面面积;
fsc——拔梢杆距离小端0.4L处截面的轴心受压强度设计值,按本规程公式(5.1.1-1)计算;
φ——拔梢杆的稳定系数,按本规程表5.1.7-1取值。
表5.1.7-2 修正系数β

注:可按Imin/Imax大小进行插值,其中Imin和Imax分别是小端截面和大端截面的惯性矩。
5.1.8 椭圆形钢管混凝土构件设计应符合下列规定:
1 椭圆形钢管混凝土构件轴心受压强度按下列公式计算:

式中:fsc,e——椭圆形钢管混凝土抗压强度设计值;
θ ——椭圆形钢管混凝土构件的套箍系数设计值;
αsc——椭圆形钢管混凝土构件的含钢率,等于钢管面积和管内混凝土面积之比;
fy、f——钢材的受压强度标准值和设计值;
fck、fc——混凝土的受压强度标准值和设计值;
B、C——考虑钢材、混凝土及截面形状对套箍效应的影响系数;
a、b——为椭圆长轴和短轴长度。
2 椭圆形钢管混凝土轴心受压构件稳定承载力应按下列公式计算:

式中:Asc,e——椭圆形钢管混凝土截面面积;
λsc——正则长细比;
K——等效初始弯曲系数;
a、b——为椭圆长轴和短轴长度。
5 钢管混凝土承重构件设计和刚度计算
5.1 单肢钢管混凝土构件在单一受力下承载力和刚度计算
5.1.1 钢管混凝土轴心受压构件应符合下列规定:
1 组合强度设计值应按下列公式计算:

式中:As、Ac——钢管、管内混凝土的面积;
αsc——实心或空心钢管混凝土构件的含钢率,按公式5.1.1-2计算;
θ ——实心或空心钢管混凝土构件的套箍系数设计值按式5.1.1-3计算;
fy、f——钢材的受压强度标准值和设计值;
fck、fc——混凝土的受压强度标准值和设计值,对于空心构件,fck、fc均应乘以1.1;
B、C——截面形状对套箍效应的影响系数,按表5.1.1取值。
表5.1.1-1 截面形状对套箍效应的影响系数取值表

注:矩形截面应换算成等效四边形截面进行计算,等效四边形的边长为矩形截面的长短边边长的乘积的平方根。
实心钢管混凝土构件圆形和正十六边形、正八边形及正方形截面组合抗压强度设计值列入本规程附录B表B-1、表B-2和表B-3;空心钢管混凝土构件截面的抗压强度设计值列入本规程附录B表B-4、表B-5和表B-6。
管内混凝土可采用普通混凝土、海砂混凝土和再生混凝土。
2 钢管混凝土轴压构件的轴心受压承载力设计值应按下式计算:

式中:Asc——实心或空心钢管混凝土构件的组合截面面积,等于钢管和管内混凝土面积之和;
kc——混凝土徐变折减系数,可按表5.1.1-2取值;
k2——可靠度修正系数,按公式(5.1.1-5)和公式(5.1.1-6)计算。
可靠度修正系数应按下列公式计算:
1) 实心圆和正十六边形截面应按下式计算:

2) 其他实心和空心截面应按下式计算:

式中:αsc——实心或空心钢管混凝土构件的含钢率。
抗震设计时,实心和空心钢管混凝土轴心受压构件的承载力应按下式计算:

式中:N——考虑地震作用组合的轴心压力设计值;
γRE——抗震调整系数,应按本规程表4.4.15确定。
3 管内混凝土的徐变折减系数kc应符合下列规定:
对轴压构件和偏心率e/r0≤0.3的偏心受压构件,当承受永久荷载(这里认为永久性荷载施加时间在管内混凝土养护成熟之后)引起的轴心压力占全部轴心压力的30%及以上时,应考虑混凝土徐变的影响,将承载力乘以徐变折减系数kc,徐变折减系数kc按表5.1.1-2确定。e为荷载作用的偏心距;r0是构件的截面半径,非圆截面时,是等效圆截面的半径。
表5.1.1-2 徐变折减系数kc

注:空心率为O时,即实心钢管混凝土构件。混凝土A是C30和C40,混凝土B是C50,C60,C70和C80。
4 高层建筑和厂房建筑采用实心钢管混凝土构件,当先安装空钢管后浇灌混凝土时,钢管的初应力不应超过O.6倍的钢材强度设计值,同时考虑空钢管构件的稳定承载力。对于连续性施工,构件中混凝土龄期在9d前,构件所承受的荷载不应超过空钢管承载力的60%。
5.1.2 钢管混凝土构件的组合抗剪强度设计值和受剪、受扭承载力设计值应符合下列规定:
l 钢管混凝土构件的组合抗剪强度设计值按下列公式计算:
1) 实心截面:

2) 空心截面:

式中:V0——实心或空心钢管混凝土的受剪承载力设计值;
Asc——实心或空心钢管混凝土构件的截面面积,即钢管面积和混凝土面积之和;
Ψ——空心率,对于实心构件等于0;
Ac、Ah——分别为混凝土的面积和空心部分的面积;
fsv——钢管混凝土的受剪强度设计值,按下式计算:

2 钢管混凝土构件的受扭承载力设计值应按下列公式计算:
1) 实心截面:

2) 空心截面:

式中:T0——实心或空心钢管混凝土的受扭承载力设计值;
WT——对应实心钢管混凝土构件的截面受扭模量算;
r0——等效圆半径。圆形截面取钢管外半径,非圆形截面取按面积相等等效成圆形的外半径。
抗震设计时,空心和实心钢管混凝土构件的受剪和受扭承载力应分别按下列公式验算:

式中:V、T——分别是考虑地震作用组合的剪力和扭矩设计值。
5.1.3 钢管混凝土轴压组合弹性刚度应符合下列规定:
1 当计算钢管混凝土构件在复杂受力状态下的欧拉临界荷载时,钢管混凝土轴压组合弹性刚度应按下列公式计算:

式中:B——实心或空心钢管混凝土构件截面的组合轴压弹性刚度;
Bss——实心钢管混凝土构件截面的组合轴压弹性刚度;
Bh——空心钢管混凝土构件截面的组合轴压弹性刚度;
Esc——实心或空心钢管混凝土的组合弹性模量;
Ess——实心钢管混凝土的组合弹性模量;
Eh——空心钢管混凝土的组合弹性模量;
Asc——实心或空心钢管混凝土构件的组合截面面积,即钢管面积和管内混凝土面积之和;
Ass——实心钢管混凝土构件的组合截面面积,即钢管面积和管内混凝土面积之和;
Ash——空心钢管混凝土构件的组合截面面积,即钢管面积和管内混凝土面积之和;
fss——实心钢管混凝土的组合抗压强度设计值;
fh——空心钢管混凝土的组合抗压强度设计值;
kE——实心或空心钢管混凝土轴压弹性模量换算系数,其值应按表5.1.3确定。
公式(5.1.3-2)和公式(5.1.3-3)中的1.3fss和1.3fh是抗压强度标准值的近似值。
表5.1.3 轴压弹性模量换算系数kE值

2 当计算钢管混凝土构件弯曲状态下的变形时应符合下列规定:
1) 实心或空心钢管混凝土的组合弹性抗弯模量Escm应按下式计算:

2) 实心或空心钢管混凝土轴压构件的组合弹性抗弯刚度Bscm应按下列公式计算:

式中:αsc——实心或空心钢管混凝土构件的含钢率(实心时用α,空心时用αh);
As、Ac——钢管和混凝土的面积;
Is、Ic——钢管和混凝土部分的惯性矩;
Es、Ec——钢材和混凝土的弹性模量;
Esc——实心或空心钢管混凝土的组合轴压弹性模量;
Ess——实心钢管混凝土的组合轴压弹性模量;
Eh——空心钢管混凝土的组合轴压弹性模量;
Isc——实心或空心钢管混凝土构件的组合截面惯性矩;
Iss——实心钢管混凝土的组合惯性矩;
Ih——空心钢管混凝土的组合惯性矩。
3) 当构件截面出现受拉区时,组合截面惯性矩应按下式计算:

式中:Iosc——实心或空心钢管混凝土受弯构件考虑受拉区混凝土开裂时的截面组合惯性矩;
αsc——实心或空心钢管混凝土的含钢率。
5.1.4 钢管混凝土组合剪变刚度应按下式计算:

式中:BG——实心或空心钢管混凝土组合剪变刚度;
Gss——实心钢管混凝土的组合剪变模量,取值应按表5.1.4。其中含钢率对应实心构件的含钢率;
Ass——实心钢管混凝土构件的组合截面面积。
表5.1.4 实心钢管混凝土的组合剪变模量Gss

5.1.5 钢管混凝土轴心受拉时的组合承载力设计值应按下式计算:

式中:Nt——实心或空心钢管混凝土轴心受拉时的拉力设计值;
Cl——钢管受拉强度提高系数,实心截面时,Cl=1.1;空心截面时,Cl=1.0。
抗震设计时,实心或空心钢管混凝土轴心受拉构件承载力应按下式计算:

式中:N——考虑地震作用组合的轴心拉力设计值。
5.1.6 钢管混凝土构件在撞击荷载下承载力和变形验算应符合下列规定:
1 承载力验算应按下列公式计算:

式中:Fs——汽车撞击的等效静力荷载(kN);
Pu——柱构件的静力极限侧推承载力;
V——撞击速度(km/h);当无路况统计信息时,可取50km/h;
M——汽车的质量(ton),当无路况统计信息时,可按中型载重车,取7.7ton;
kb——边界条件系数,简支:kb=1;固铰:kb=3/2;固固:kb=2;
L——柱的长度;
Mu——塑性极限弯矩;
Ψ——构件的空心率;
M0——钢管混凝土在纯弯下的受弯承载力;
N——钢管混凝土柱所受的轴压力;
N0——钢管混凝土柱的轴压承载力设计值;
γm——抗弯构件的塑性发展系数,见本规程公式(5.3.1-5)。
2 变形验算应按下列公式计算:
最大变形

式中:△allow——构件允许的最大变形,根据设计要求取值,可取柱长的1/50;
△max——冲击下的构件的最大变形,结合耗能曲线和外界冲击能得到;
△y、△u——水平段起始点和终止点的位移;
E——柱吸收的冲击能;
Kp——初始刚度。
5.1.7 钢管混凝土柱轴压稳定承载力应按下列公式计算:

式中:fsc——实心或空心钢管混凝土构件的组合强度设计值;
Asc——组合截面面积;
φ——钢管混凝土轴心受压构件稳定系数,其值应按表5.1.7-1确定;表中λsc是各种构件的长细比,包括实心和空心的各种截面,分别是他们各自的计算长度除以回转半径。
对于再生钢管混凝土轴压构件的稳定承载力设计值应按下式计算:

式中:N0——钢管再生混凝土单肢承载力设计值;
Asc——钢管再生混凝土的截面面积;
fsc——钢管再生混凝土抗压强度设计值;
Erc——再生混凝土弹性模量;
Ec——和再生混凝土标号相同的普通混凝土的弹性模量。
抗震设计时,实心和空心钢管混凝土单肢柱轴心受压构件的稳定承载力应按下式计算:

表5.1.7-1 轴压构件稳定系数φ

对于拔梢杆,都是空心钢管混凝土构件,计算稳定承载力时,构件的长细比应按下式计算:

式中:Iscd——大端截面的截面惯性矩;
Ascd——大端截面的全截面面积;
λmax——按大端截面的回转半径和二端铰接杆计算的长细比;
L0——拔梢杆的计算长度;
β——修正系数,按表5.1.7-2取值。
根据长细比λsc查得轴压稳定系数φ,按下式计算承载力:

式中:Abh——拔梢杆的等效截面面积,取距离小端0.4L处的截面面积;
fsc——拔梢杆距离小端0.4L处截面的轴心受压强度设计值,按本规程公式(5.1.1-1)计算;
φ——拔梢杆的稳定系数,按本规程表5.1.7-1取值。
表5.1.7-2 修正系数β

注:可按Imin/Imax大小进行插值,其中Imin和Imax分别是小端截面和大端截面的惯性矩。
5.1.8 椭圆形钢管混凝土构件设计应符合下列规定:
1 椭圆形钢管混凝土构件轴心受压强度按下列公式计算:

式中:fsc,e——椭圆形钢管混凝土抗压强度设计值;
θ ——椭圆形钢管混凝土构件的套箍系数设计值;
αsc——椭圆形钢管混凝土构件的含钢率,等于钢管面积和管内混凝土面积之比;
fy、f——钢材的受压强度标准值和设计值;
fck、fc——混凝土的受压强度标准值和设计值;
B、C——考虑钢材、混凝土及截面形状对套箍效应的影响系数;
a、b——为椭圆长轴和短轴长度。
2 椭圆形钢管混凝土轴心受压构件稳定承载力应按下列公式计算:

式中:Asc,e——椭圆形钢管混凝土截面面积;
λsc——正则长细比;
K——等效初始弯曲系数;
a、b——为椭圆长轴和短轴长度。
5.2 格构式钢管混凝土构件在单一受力下承载力计算
5.2.1 格构式钢管混凝土轴心受压构件的整体稳定承载力应按下式计算:

式中:fsc——钢管混凝土组合抗压强度设计值;实心截面时,用实心钢管混凝土组合抗压强度设计值fss;空心时,用空心钢管混凝土组合抗压强度设计值fh。
∑Asc——各柱肢组合截面面积之和;实心时,是实心截面柱各柱肢的组合截面面积之和∑Ass;空心时,是空心截面柱各柱肢的组合截面面积之和∑Ash;
φ ——钢管混凝土轴心受压构件稳定系数。
稳定系数 φ 值应根据构件的换算长细比按本规程表5.1.7-1确定。格构式构件的换算长细比应按表5.2.1确定。
抗震设计时,格构式钢管混凝土轴心受压构件的稳定承载力应按下式计算:

表5.2.1 格构式构件的换算长细比

注:1 表中符号意义:λy和λx是整个截面对y-y轴和对x-x轴的长细比;λ1是单肢一个节间的长细比,应按公式(5.2.1-3)计算;As是一根柱肢的钢管截面面积;Aw是一根腹杆空钢管的截面面积;
2 三肢柱截面的宽度和高度之比不应大于2.2。

双肢斜腹杆柱的内外肢截面不同时,换算长细比可按下式计算:

三肢柱斜腹杆柱的内外肢截面不同时,换算长细比可按下式计算:

四肢斜腹杆柱的内外肢截面不同时,换算长细比可按下式计算:

式中:λoy、λox——格构式钢管混凝土构件对y-y轴和对x-x轴的换算长细比;
Aw——腹杆(缀条或缀板)截面面积;
Asci——各钢管混凝土柱肢的截面面积,i=1、2、3、4;
λy、λx——整个截面对y-y轴和对x-x轴的长细比;
λ1——单肢一个节间的长细比;
Ix、Iy——单根柱肢的截面惯性矩;
ai、b——分别是柱肢中心到虚轴y-y和x-x的距离,如表5.2.1中图例所示;
h——柱肢的节间距离。
腹杆及其与柱肢的连接的计算应按现行国家标准《钢结构设计规范》GB 50017的相关规定设计。
5.2.2 格构式钢管混凝土轴心受压构件的单肢稳定承载力应符合下列规定:
格构式钢管混凝土轴心受压构件单肢尚应按公式(5.1.7-1)验算单肢柱的稳定承载力。当符合下列条件时,可不验算:
缀板格构式构件:λ1≤40且λ1≤0.5λmax;
缀条格构式构件:λ1≤0.7λmax
式中:λ1——单肢一个节间的长细比;
λmax——构件在x-x和y-y方向换算长细比的较大值。
5.2.3 格构式轴心受压构件所受剪力应按下式计算:

式中:∑Asci——各柱肢的组合截面面积之和;包括实心或空心的各种截面;计算实心截面时,用∑Assi;计算空心截面时,用∑Ashi;
fsc——各柱肢实心或空心钢管混凝土的轴压强度设计值;计算实心构件时,用fss,计算空心构件时,用fh。
5.3 钢管混凝土构件在复杂受力状态下承载力计算
5.3.1 单肢钢管混凝土构件在复杂应力状态下的承载力应符合下列规定:
1 承受压、弯、扭、剪共同作用时,构件的承载力应按下列公式计算:

式中:N、M、T、V——作用于构件的轴向压力、弯矩、扭矩和剪力设计值;
βm——等效弯矩系数,按现行国家标准《钢结构设计规范》GB 50017的规定采用;
N0——实心或空心钢管混凝土的轴心受压承载力设计值,按本规程第5.1.1条规定计算;
M0——实心或空心钢管混凝土的受弯承载力设计值;
T0——实心或空心钢管混凝土的受扭承载力设计值,按本规程第5.1.2条规定计算;
V0——实心或空心钢管混凝土的受剪承载力设计值,按本规程第5.1.2条规定计算;
φ——实心或空心钢管混凝土的稳定系数;按本规程第5.1.7条规定计算;
N'E——系数。根据本规程第5.1.3条,N'E可以进一步简化为10.6kEfc/λ2;
Wsc——受弯构件的组合截面模量,不同截面可按本规程附录A计算;
γm——塑性发展系数;
ke——受弯椭圆形钢管混凝土套箍效应调整系数。当绕椭圆形长轴受弯时取(a/b)0.12;当绕椭圆形短轴受弯时取(b/a)0.6。
计算单层厂房框架柱时,柱的计算长度按现行国家标准《钢结构设计规范》GB 50017的规定采用;计算高层建筑的框架柱、核心筒柱时,柱的计算长度按现行行业标准《高层民用建筑钢结构技术规程》JGJ 99的规定采用。
2 当只有轴向压力和弯矩作用时的压弯构件,应按下列公式计算:

式中:N、M——作用于构件的轴向压力和弯矩;
βm——等效弯矩系数,按现行国家标准《钢结构设计规范》GB 50017的规定采用;
N0——实心或空心钢管混凝土的轴心受压承载力设计值,按本规范第5.1.1条规定计算;
M0——实心或空心钢管混凝土的受弯承载力设计值,按式5.3.1-4进行计算;
φ——实心或空心钢管混凝土的稳定系数,按本规范第5.1.7条规定计算。
5.3.2 格构式钢管混凝土构件承受压、弯、扭、剪共同作用时,应按下列公式验算平面内的整体稳定承载力:

式中:φ——格构式钢管混凝土的稳定系数;
Wsc——格构式柱截面至最大受压肢外边缘的组合截面模量;对格构式构件,不考虑截面塑性发展。
5.3.3 抗震设计时,公式(5.3.1-1)、公式(5.3.1-2)、公式(5.3.1-6)、公式(5.3.1-7)和公式(5.3.2-1)中的N、M、T和V都是考虑地震作用组合的内力,且均应除以γRE。
5.3.4 对斜腹杆格构式柱的单肢,按桁架的弦杆计算单肢的稳定承载力。对平腹杆格构式柱的单肢,应考虑由剪力引起的局部弯矩的影响,按压弯构件计算。
5.3.5 腹杆所受的剪力应取实际剪力和按本规程公式(5.2.3)计算剪力中的较大值。
5.3.6 单肢钢管混凝土拉弯构件的承载力应按下式计算:

式中:N、M——作用于构件的轴心拉力和弯矩;
Wsc——钢管混凝土构件的截面模量,不同截面可按附录A计算;
As——钢管的截面面积;
fsc——钢管混凝土的轴压强度设计值,包括实心或空心的各种截面的轴压强度设计值;
f——钢管钢材的抗拉强度设计值。
抗震设计时,N和M是考虑地震作用组合的内力,公式(5.3.6)中的 f 应乘以γRE。
6 构造要求和节点设计
6.1 一般规定
6.1.1 节点承载力应大于构件承载力,并满足刚度要求。构造力求简单,传力明确,整体性好。
6.1.2 节点设计应尽量减小连接偏心,避免应力集中和产生次应力,方便加工和安装。
6.1.3 在钢管内应尽量减少设置横向穿管、加劲板(环)和其它附件。
6.1.4 根据构造和运输要求,钢管混凝土框架柱长度宜按三个楼层分段。分段接头位置宜接近反弯点位置,且超出楼面1.2m~1.3m之间,以利现场施焊。
6.1.5 对于空心钢管混凝土结构,所有焊在钢管上的连接件和金属附件宜在混凝土离心成型之前完成。若需要在混凝土离心成型之后进行时,则必须在混凝土的强度达到28d标准强度的70%后,方能进行焊接。
6.1.6 钢管混凝土柱与梁的连接可分为刚接连接和铰接连接。
梁可采用钢梁、钢筋混凝土梁和钢-混凝土组合梁。框架柱和梁的连接节点,除节点内力特别大,对结构整体刚度要求很高的情况外,有零部件必须穿过钢管时,应考虑构造合理,减少对管内混凝土浇灌的不利影响。
6.1.7 梁柱连接处的梁端剪力可采用下列方法传递:
1 对于混凝土梁,可用焊接于柱钢管上的钢牛腿(图6.1.7-1)来实现,把混凝土梁直接放在钢牛腿上。当钢管外径小于或等于600mm时,牛腿的腹板不宜穿过管心;当钢管外径小于或等于300mm时,牛腿的腹板不应穿过管心;当必须穿过管心时,可先在钢管壁上开槽,将腹板插入后,以双面贴角焊缝封固。
2 对于钢梁,可按钢结构的做法,用焊接于柱钢管上的连接腹板(图6.1.7-2)来实现。

图6.1.7-1 传递剪力的梁柱连接(混凝土梁)
1-柱;2-明牛腿;3-暗牛腿;4-梁

图6.1.7-2 传递剪力的梁柱连接(钢梁)
1-柱;2-连接腹板
6 构造要求和节点设计
6.1 一般规定
6.1.1 节点承载力应大于构件承载力,并满足刚度要求。构造力求简单,传力明确,整体性好。
6.1.2 节点设计应尽量减小连接偏心,避免应力集中和产生次应力,方便加工和安装。
6.1.3 在钢管内应尽量减少设置横向穿管、加劲板(环)和其它附件。
6.1.4 根据构造和运输要求,钢管混凝土框架柱长度宜按三个楼层分段。分段接头位置宜接近反弯点位置,且超出楼面1.2m~1.3m之间,以利现场施焊。
6.1.5 对于空心钢管混凝土结构,所有焊在钢管上的连接件和金属附件宜在混凝土离心成型之前完成。若需要在混凝土离心成型之后进行时,则必须在混凝土的强度达到28d标准强度的70%后,方能进行焊接。
6.1.6 钢管混凝土柱与梁的连接可分为刚接连接和铰接连接。
梁可采用钢梁、钢筋混凝土梁和钢-混凝土组合梁。框架柱和梁的连接节点,除节点内力特别大,对结构整体刚度要求很高的情况外,有零部件必须穿过钢管时,应考虑构造合理,减少对管内混凝土浇灌的不利影响。
6.1.7 梁柱连接处的梁端剪力可采用下列方法传递:
1 对于混凝土梁,可用焊接于柱钢管上的钢牛腿(图6.1.7-1)来实现,把混凝土梁直接放在钢牛腿上。当钢管外径小于或等于600mm时,牛腿的腹板不宜穿过管心;当钢管外径小于或等于300mm时,牛腿的腹板不应穿过管心;当必须穿过管心时,可先在钢管壁上开槽,将腹板插入后,以双面贴角焊缝封固。
2 对于钢梁,可按钢结构的做法,用焊接于柱钢管上的连接腹板(图6.1.7-2)来实现。

图6.1.7-1 传递剪力的梁柱连接(混凝土梁)
1-柱;2-明牛腿;3-暗牛腿;4-梁

图6.1.7-2 传递剪力的梁柱连接(钢梁)
1-柱;2-连接腹板
6.2 钢管混凝土构件的钢管接长
6.2.1 钢管混凝土柱段的长度,应根据具体工程的建筑及结构设计要求、构件运输、施工安装及运行维护条件等因素,综合考虑确定。
6.2.2 实心构件的钢管接长时,分为焊接连接或法兰盘和螺栓连接。当管径不变时,宜采用等强度的坡口焊缝;当管径改变时,可采用法兰盘和螺栓连接,法兰盘应采用一带孔板,使管内混凝土保持连续。
6.2.3 空心构件的钢管接长应在管端留有一段不浇灌混凝土,来考虑上下柱段对接时钢管的焊接可能烧坏管内混凝土,并应对该段钢管加一短加强钢套管(图6.2.3)。当主管直径小于400mm时,宜采用外加强管方式。

图6.2.3 空心钢管混凝土构件管端的加强
1-主钢管;2-混凝土内衬管;3-承压挡浆圈;4-内加强管;5-外加强管
6.2.4 加强管的壁厚t可按下列公式计算确定:
1 满足轴心受压极限承载力的要求时:

2 满足抗弯极限承载力的要求时:

3 满足抗弯刚度的要求时:

式中:D——圆钢管的外直径,或多边形截面两对应外边至外边的距离;
D0——圆钢管的内直径,或多边形截面两对应内边至内边的距离;
Ds——加强管的平均直径;
Dc——混凝土管的等效平均直径;
d——混凝土管的内直径;
δc——混凝土管的等效厚度;
t0——钢管混凝土构件的钢管厚度;
t——加强管的厚度;
n——混凝土和钢材弹性模量之比;
v——多边形截面的等效直径系数,按表6.2.4的规定确定;
β0——多边形截面的截面模量及惯性矩等效系数,按表6.2.4的规定确定;
γs——钢管截面的塑性发展系数,按表6.2.4的规定确定;
fck——混凝土的抗压强度标准值;
fh——空心钢管混凝土的组合抗压强度设计值;
fy——加强管钢材的屈服强度;
Wh——空心钢管混凝土构件的截面组合模量。
表6.2.4 系数β0、v和γs值

注:16边以上的多边形截面按圆截面取值。
6.2.5 空心构件连接加强管的构造要求应符合下列规定:
1 加强管的壁厚不宜小于5mm,其高度不宜小于0.3倍主管直径,且不宜小于150 mm,伸入混凝土部分的搭接长度不宜小于混凝土管等效厚度的2倍(2δc)。
2 构件两端应设置承压挡浆板(圈),厚度不宜小于1/10混凝土管的壁厚,且不应小于5 mm,承压挡浆板的宽度为混凝土管的壁厚,其距离杆端的距离不宜小于50mm。
3 承压挡浆板应与主钢管或内加强管满焊。
4 加强管下端应与主管满焊。当主管直径小于300 mm时,内加强管下端宜切割成(图6.2.5)锯齿形,便于伸入管内焊接。

图6.2.5 内加强管的焊接构造
1-主钢管;2-内加强管;3-承压挡浆圈;4-角焊缝
6.3 现场安装连接
6.3.1 对实心钢管混凝土构件杆段间的现场安装连接可采用直接对接焊接和法兰盘连接。对空心钢管混凝土构件杆段间的现场安装连接宜采用直接对接焊接、套接和法兰盘螺栓连接等多种形式;也可采用剪力板螺栓连接。
6.3.2 直接对接焊接应采用坡口熔透焊缝,连接宜符合下列规定:
1 上下柱管径不变时,宜采用等强度的坡口焊缝焊接连接(图6.3.2-1),也可采用法兰板焊接连接(图6.3.2-3)。当管径改变时,可采用法兰板焊接连接(图6.3.2-2)。
2 直接对接焊接的圆截面构件,可在上下杆端设置安装耳板,供安装定位之用(图6.3.2-1)。
3 变直径柱的法兰板孔径应比上柱直径大5mm~10mm,可用加劲板作为定位装置。

图6.3.2-1 直接对接坡口焊接连接
1-上节柱;2-下节柱;3-安装坡口焊;4-安装用耳板

图6.3.2-2 法兰板焊接连接(变直径)
1-上节柱;2-下节柱;3-连接法兰板;4-加劲板;5-现场安装角焊缝

图6.3.2-3 法兰板焊接连接(不变直径)
1-上节柱;2-下节柱;3-连接法兰板;4-现场安装角焊缝
6.3.3 空心钢管混凝土构件套接时,焊接连接宜符合下列规定:
1 套接连接仅适用于锥形受弯构件。套接连接可将锥形套接管用对接熔透焊缝焊接在上节柱的下端柱头上(图6.3.3)。

图6.3.3 套接连接
1-上节柱;2-下节柱;3-锥形套接管;4-对接熔透焊缝
2 套接管的长度Lt不宜小于1.5D,D为下段柱锥形管的最小直径。
3 套接钢管的厚度可按下式计算:

式中:D——锥形套接管的最小外直径;
ωh——上节柱下端最大截面处的构件的组合截面模量;
β0——多边形截面的截面模量及惯性矩等效系数,按本规程表6.2.3的规定确定;
γs——钢管截面的塑性发展系数,按本规程表6.2.3的规定确定。
6.3.4 用于空心钢管混凝土构件连接的剪力板螺栓连接(图6.3.4),可按下列规定设计:

图6.3.4 剪力板螺栓连接
1-上节柱;2-内钢管;3-单剪力板;4-连接板;5-双剪力板;6-下节柱
1 最外一排每个螺栓所承受的最大剪力可按下列公式计算:

式中:M——接头处所作用的外弯矩设计值;
N——接头处所作用的轴心拉(压)力设计值;
d0——螺栓所在位置中心的直径;
n0——剪力板的组数;
m——每一排剪力板螺栓的数量;
Nvb——一个螺栓抗剪承载力设计值;
nv——螺栓受剪面数目,单剪时nv=1,双剪时nv=2;
d——螺栓杆直径;
fvb——普通螺栓的抗剪强度设计值。
除满足计算要求外,螺栓直径不宜小于16mm。
2 剪力板的厚度可按下列公式计算,并不宜小于6mm。

剪力板孔壁承压强度应满足下式要求:

式中:t0——剪力板厚度;
b0——剪力板的最小宽度;
d——剪力螺栓的直径;
fcb——钢材的孔壁承压强度设计值;
Ncb——螺栓的承压承载力设计值;
μ——单剪力板μ=1,双剪力板μ=2。
3 内钢管的强度可按下列公式计算:

式中:t——内钢管的厚度;
D0——内钢管的直径;
b——剪力板的宽度;
n0——剪力板的组数。
内钢管的径厚比D0/t≤1/60,厚度不宜小于5mm。
4 与主柱连接的环板厚度,可按下列公式计算:

式中:e0——剪力板螺栓中心至主钢管外壁的距离;
m——最外排螺栓数。
5.3.5 法兰盘螺栓连接(图6.3.5-1)宜采用有加劲板(刚性法兰)连接方式,可按下列规定设计:

图6.3.5-1 法兰盘螺栓连接
1-上节柱;2-下节柱;3-法兰盘;4-加劲肋
1 法兰盘与杆段的连接,可采用杆段与法兰盘平接连接,也可采用插接连接,其构造如图(6.3.5-2)所示。

图6.3.5-2 法兰连接构造
1-主钢管;2-内加强管;3-混凝土管;4-加劲板;5-法兰盘;6-承压挡浆板
2 连接法兰盘的杆端应加强,加强方式可采用内加强管,也可采用外加强管。
3 平接式法兰盘宜设置加劲板,加强管的高宜大于加劲板高度100mm。
6.3.6 有加劲板法兰盘连接计算应符合下列规定:
1 法兰螺栓(图6.3.6-1)计算按下式计算:

图6.3.6-1 有加劲板法兰螺栓受力简图
1) 轴向受拉作用时:

2) 只受弯矩作用时:

3) 受拉(压)及受弯共同作用时:
当
时,

当
时,用公式(6.3.6-2)计算,式中B0按下式计算:

式中:M——法兰盘所承受的弯矩设计值;
N——法兰盘所承受的轴拉(压)力设计值,N为压力时取负值;
D——主钢管的外直径;
b——钢管外壁至螺栓中心的距离;
n——法兰盘上螺栓的数量;
Nbmax——受力最大的一个螺栓的拉力;
Ntb——每个螺栓的受拉承载力设计值,Ntb=(πde2/4)ftb;
de——螺栓在螺纹处的有效直径;
ftb——螺栓的抗拉强度设计值。
2 法兰盘厚度应满足下列公式要求(图6.3.6-2):

式中弯矩系数 β 见表6.3.6。
表6.3.6 弯矩系数β


图6.3.6-2 有加劲板法兰盘受力简图
3 加劲板可按下列公式计算:

式中:fv——钢材的抗剪强度设计值;
f——钢材的抗拉强度设计值;
b——螺栓中心至钢管外壁的距离;
t、h——分别为加劲板的厚度和高度。
4 加劲板竖向角焊缝可按下式计算:

式中:lw——焊缝的计算长度;
hf——角焊缝的焊脚尺寸;
βf——正面角焊缝的强度设计值增大系数,取1.22;
ffw——角焊缝的强度设计值。
5 加劲板除满足计算要求外,其厚度不应小于加劲板高的1/15,且不宜小于5mm。
6.3.7 无加劲板时,法兰盘连接(图6.3.7-1和图6.3.7-2)应满足下列要求:

图6.3.7-1 无加劲板法兰螺栓受力图
1-法兰盘相互顶住产生的顶力

图6.3.7-2 无加劲板法兰盘受力图
1 法兰盘螺栓承载力应满足下列公式要求:

其中轴向受拉作用时:

受拉(压)、弯共同作用时:

式中:Nbmax——法兰盘螺栓的拉力设计值,按公式(6.3.7-2)和公式(6.3.7-3)中Nb的较大值计算;
M——法兰盘所受的弯矩;
N——法兰盘所受的轴心力,N为压力时取负值;
rs——钢管的半径(图6.3.6-1);
n——螺栓数;
m——法兰螺栓受力修正系数,m=0.65;
Nbt——一个螺栓的抗拉强度设计值;
fbt——螺栓抗拉强度设计值;
de——位于螺栓中心线处螺栓的有效直径。
2 法兰盘应按下列公式验算:

式中:r——法兰盘中正应力;
σ——法兰盘中剪应力;
s——螺栓的间距,s=πd0/n;
e0——螺栓中心线的直径;
Rf——法兰盘之间的顶力。
3 无加劲板法兰盘的厚度 t 除满足计算要求外,对于主柱不宜小于16mm;腹杆不宜小于12mm,且不宜小于螺栓的直径。
6.4 梁与柱的刚接节点
6.4.1 梁柱刚接节点适用于实心及空心钢管混凝土构件(图6.4.2-1、图6.4.3-1和图6.4.3-2)。
6.4.2 钢管混凝土柱与钢梁的刚接节点(图6.4.2-1,图中左右二侧分别表示两种连接节点)应符合下列规定:

图6.4.2-1 钢梁-柱刚接节点
1-空心钢管混凝土柱;2-工字钢梁;3-翼缘连接板;4-腹板连接板;
5-上加强环;6-下加强环;7-翼缘对接焊缝;8-短梁腹板
1 焊接在主管上的连接短梁(牛腿),应设计成上下加强环板(图6.4.2-2)和腹板组成的工字形;与梁连接时,翼缘可采用高强螺栓连接,也可采用对接焊缝焊接;腹板宜采用高强螺栓连接,也可采用对接焊接。
图6.4.2-2 加强环的类型
2 短梁与主柱的焊接应采用坡口对接熔透焊缝。
3 加强环板承受的轴力N和弯矩M应分别按下列公式计算:

式中:Nb——梁的轴向力对一个环板产生的拉力;
Mc——柱轴线处的梁支座弯矩设计值;
V——对应于柱轴线处Mc的梁端剪力;
h——梁端的截面高度;
d——柱的直径。
4 连接钢梁的加强环的厚度,应按梁翼缘板所承受的轴心拉力N计算确定。

式中:t1——加强环板的厚度;
bs——加强环板的宽度(工字钢翼缘宽度)。
5 加强环板的控制截面的宽度b,应按下列公式计算:

式中:a——拉力N作用方向与计算截面的夹角;
t、d——主柱钢管的壁厚与外直径;
f——主柱钢管的抗拉强度设计值;
f1——加强环板的抗拉强度设计值;
be——主柱钢管管壁参与加强环受力的有效宽度(图6.4.2-3)。

图6.4.2-3 柱管壁有效宽度图
1-主柱管壁;2-加强环板
6 加强环板除满足计算要求外,尚应符合下列的构造要求:

7 短梁(牛腿)的腹板,应按下式验算短梁腹板处管壁的剪应力(图6.4.2-4):

式中:Vmax——梁端的最大剪力设计值;
lw——角焊缝长度;
bco——钢管的内半径;
bj——角焊缝所包的宽度;
hf——角焊缝的焊脚尺寸;
tw——腹板的厚度;
fv——钢材的抗剪强度设计值。

图6.4.2-4 管壁应力计算简图
1-角焊缝
6.4.3 铜管由凝土柱与现浇钢筋混凝土梁的刚接节点应符合下列规定:
梁内的主筋(纵向钢筋)焊在加强环板上(图6.4.3-1) ,或通过钢筋套筒及焊接在钢牛腿上的连接件相连(图6.4.3-2) 。加强环板的宽度bs应与钢筋混凝土梁等宽。加强环板控制截面宽度b,可按本规程公式(6.4.2-4)~ 公式(6.4.2-7)计算确定。当受拉钢筋较多时,腹板可以增加至2~3 块,将钢筋焊在腹板上。
当采用钢筋套筒连接时,应在钢牛腿上焊接带有孔洞的铜板连接件,孔洞位置与主筋位置对应。钢筋带车丝端头穿过铜板连接件与钢筋套筒连接。为避免钢板连接件失稳,可在垂直铜板方向焊接加劲肋板。
加强环板的厚度 t 可按下式计算:

式中:As——焊接在加强环板上全部受力负弯矩钢筋的截面面积;
fs——钢筋的抗拉强度设计值;
bs——牛腿的宽度;
f——外加强环钢材的抗拉强度设计值。

图6. 4. 3-1 混凝土梁柱刚接节点(钢筋焊接)
1-空心钢管混凝土柱;2-钢筋混凝土梁;3-纵向主筋;
4-箍筋;5-外加强环板翼缘;6-外加强环板腹板

图6.4.3-2 混凝土梁柱刚接节点(钢筋套筒连接)
1-空心钢管混凝土柱;2-钢筋混凝土梁;3-纵向主筋;4-箍筋;5
-连接钢板;6-钢筋套筒;7-钢牛腿;8-外加强环腹板;9-加劲肋
6.4.4 凡节点弯矩使主钢管管壁产生较大拉应力时,应设置加强环板。若梁端仅有负弯矩而不可能产生正弯矩时,也可不设置下加强环板。
6.4.5 边柱和角柱与梁的连接节点可采用半个加强环板,但加强环板的圆心角必须大于180°。
6.5 工业厂房柱
6.5.1 轻工业厂房可采用空心钢管混凝土柱,单肢柱和格构式柱。重工业厂房宜采用实心钢管混凝土格构式柱。
6.5.2 单层工业厂房阶形格构式柱,在变截面处采用肩梁支承吊车梁(图6.5.2-1、图6.5.2-2)。肩梁由腹板、平台板和下部水平隔板组成,呈工字形截面。

图6.5.2-1 阶形格构柱变截面处构造
1-肩梁腹板;2-平台板;3-水平隔板

图6.5.2-2 四肢柱阶形格构柱变截面处构造
1-肩梁腹板;2-平台板;3-水平隔板
肩梁腹板可采取穿过柱肢钢管和不穿过柱肢钢管两种形式。当吊车梁梁端压力较大时,肩梁腹板宜采用穿过柱肢钢管的形式。穿过钢管的腹板应以双面贴角焊缝与钢管相连接。不穿过钢管的腹板,应采用剖口焊缝与钢管全熔透焊接。
腹板顶面应刨平,并和平台板顶紧,依靠端面承压传力。
变截面处的另部件的计算同钢结构。上柱的下端按该处的柱内力N和M设计,肩梁按吊车梁传来的内力设计。
6.6 柱和基础的连接
6.6.1 实心和空心钢管混凝土柱与基础的连接分为铰接和固接、插入杯口式(图6.6.1-1)和锚栓连接式(图6.6.1-2)。柱脚端头必须用封头底板或挡浆板封固,其厚度不应小于14mm。对于空心钢管混凝土柱,柱脚部分应灌满混凝土。

图6.6.1-1 插入杯口式柱脚构造示意
1-实、空心钢管混凝土柱;2-钢筋混凝土基础;
3-柱底板(挡浆板)

图6.6.1-2 锚栓连接式柱脚构造示意
1-实、空心钢管混凝土柱;2-加劲环板;3-加劲肋;4-锚栓;
5-基础;6-地脚螺栓;7-柱底板(挡浆板)
6.6.2 插入杯口式柱脚属于固接,杯口设计和构造应与预制钢筋混凝土柱的基础杯口相同。锚栓式柱脚的设计和构造与钢结构相同,分为固接[图6.6.1-2(a)]和铰接[图6.6.1-2(b)],应验算柱与基础连接面的局部受压强度。
6.6.3 插入杯口式柱脚的插入杯口的深度 h,应符合下列规定(D 是柱的直径):
1 对送变电杆塔结构:
1) 轴心受压或小偏心受压柱:h 取1.0D;
2) 大偏心受压柱:h取1.2D;
3) 悬臂柱:h取1.5D。
2 对高层建筑柱、厂房柱及其他柱:
1) 当钢管外径D≤400mm时,h取(2~3)D;D≥1000mm时,h取(1~2)D;400mm<D<1000mm时,h 取中间值。
注:非圆形截面D是外接圆的直径。
受拉柱可采用插入杯口式柱脚,其插入杯口深度可按下式计算:

式中:H——柱插入杯口的深度;
N——柱的轴向拉力设计值;
D——圆截面钢管柱的外直径或多边形钢管混凝土管柱的外接圆直径;
fcv——混凝土抗粘剪强度设计值;当二次灌浆细石混凝土的强度等级不低于C20时,可取0.5N/mm2;
v——等效直径系数,由本规程表6.2.4查得。
2) 当受拉钢管混凝土柱在埋入杯口部分焊有间距不小于200mm的钢箍时,钢箍不应少于两道(图6.6.3-1)。钢箍的直径不宜小于8mm,并应与钢管双面焊接。
在柱端焊有锚板(图6.6.3-2)时,其上拔的剪切面可按沿杯口壁进行计算,其插入深度可按下式计算:

式中:sc——杯口内壁平均周长。
插入杯口的深度除满足计算要求外,对受拉柱不应小于1.5D。

图6.6.3-1 焊有钢箍的受拉柱
1-受拉柱;2-杯口基础;3-钢箍

图6.6.3-2 带锚板的受拉柱
1-受拉柱;2-杯口基础;3-锚板
6.6.4 采用外包式和埋入式的柱脚,可按现行行业标准《高层民用建筑钢结构技术规程》JGJ 99的规定设计。
6.7 钢管混凝土桩
6.7.1 钢管混凝土桩宜采用空心钢管混凝土桩身,且应采用圆截面钢管。混凝土的强度等级不应低于C30。钢管可采用螺旋焊接管,也可采用直缝焊接管。桩身的分段长度应根据桩架的有效高度、制作场地条件和吊装运输能力,以及持力层的地质条件等综合考虑确定,不宜超过15m。桩身截面的选择应满足桩身强度的要求。桩身强度应按桩顶荷载设计值计算确定,并满足现行行业标准《建筑桩基技术规范》JGJ 94有关桩的承载力的设计要求。
6.7.2 桩头应符合下列规定:
1 桩头的强度应大于桩身的强度,其构造(图6.7.2)应符合下列规定:
1) 外加强管的厚度除满足计算要求外,且不应小于6mm。
2) 承压挡浆板的宽度 B 宜取等于内衬混凝土管的厚度δc,即 B =δc;其厚度t1宜取 B/10,且不应小于6mm。
3) 加劲板的高度,宜取(1.2~1.5)B,且不宜小于100mm;厚度不宜小于5mm,加劲板间的距离可取(1/50~1/60)D;静压桩可不设加劲板。

图6.7.2 桩头构造示意图
1-外加强管钢管;2-桩身钢管;3-混凝土内衬管;
4-承压挡浆板;5-加劲板
2 外加强管的厚度t0,可按下式计算:

式中:D——外加强管的直径;
f——外加强管的抗压强度设计值;
Ac——桩身混凝土管的截面面积;
fc——桩身混凝土轴心抗压强度设计值;
β ——冲击系数;静压桩取1.0,冲击桩取1.3。
6.7.3 桩端的形式可采取敞口式,也可采用闭口式,闭口式可为平底或锥底。其构造类同于钢管桩的桩端,仅需将其可靠地焊接在空心钢管混凝土桩的桩头上。
6.7.4 桩身的拼接接头宜采用直接对接焊接。上节桩的外加强管必须剖口,拼接接头的强度应大于或等于桩身的强度(轴心或偏心抗压强度)。
6.7.5 管桩表面的防腐处理应符合下列规定:
1 用于地下水有侵蚀性的地区或腐蚀性土层时,管桩的外表面应根据腐蚀介质的特性,采取有效的防腐措施。
2 表面不作防腐处理时,应根据腐蚀介质对桩的腐蚀速率加厚钢管的壁厚。
7 钢管混凝土构件的加工制作与施工
7.1 钢管的加工制作
7.1.1 钢管的加工制作应根据设计文件绘制钢结构施工详图,并应按设计文件和施工详图的要求编制制作工艺文件,确定钢管的分段或拼焊。钢管加工制作前,对钢材及焊接材料应按现行国家标准《钢结构工程施工质量验收规范》GB 50205的规定进行复验,材料应符合设计要求和国家现行有关产品标准的规定。
7.1.2 钢管段制作的允许偏差应符合表7.1.2的要求,按一般结构(输电线杆塔等)和特殊结构(对结构安装精度有特殊要求的结构,如格构式高塔、建筑结构的柱等)分类。
表7.1.2 管段制作允许偏差

7.1.3 钢管下料应根据工艺要求预留制作时的焊接收缩量和切割、端铣等的加工余量。
7.1.4 对首次应用于钢结构工程的钢材、进口钢材、设计规定的钢材类别和焊接材料、焊接方法、接头形式、焊接位置、多层施焊、焊后热处理等工艺条件,以及施工单位首次采用各种参数的组合条件施工时,都应进行焊接工艺评定,并应根据评定报告确定焊接工艺,编写作业指导书。焊工应经过考试并取得焊工资格证后,方可从事证件认可范围内的焊接工作。
7.1.5 钢管焊缝的施工应严格按照设计文件及焊接工艺文件规定的焊接方法、工艺参数及施焊顺序进行,并应符合现行国家标准《钢结构焊接规范》GB 50661的相关规定。
7.1.6 对于大直径钢管,当采用直缝焊接钢管时,等径钢管相邻纵缝间距不宜少于300mm,纵向焊缝沿圆周方向的数量不宜超过2道。相邻两节管段对接时,纵向焊缝应互相错开,间距不宜小于300mm。
7.1.7 钢管的接长必须保证所有对接熔透焊缝的质量,达到与母材等强,焊缝质量为一级,每个制作单元宜为一个接头;当钢管采用卷制方式加工成型时,可允许适当增加接头。钢管的接长最短拼接长度应符合现行国家标准《钢结构工程施工质量验收规范》GB 50205的规定。
7.1.8 焊缝质量检验除应全部进行外观尺寸、表面缺陷检查合格外,对全焊透的一、二级焊缝必须按规定进行超声波探伤检测,其内部缺陷的检测应符合下列规定:
1 一级焊缝应进行100%检测,其合格等级应符合现行行业标准《钢结构超声波探伤及质量分级法》JG/T 203中B级检验的Ⅱ级或Ⅱ级以上要求。
2 二级焊缝应进行30%~50%抽样检测,其合格等级应符合现行行业标准《钢结构超声波探伤及质量分级法》JG/T 203中B级检验的Ⅲ级或Ⅲ级以上要求。
3 三级焊缝应根据设计文件要求进行相关的超声波探伤检测。
4 现场连接全焊透焊缝应进行100%检测,焊缝等级应根据设计文件要求进行相关的超声波探伤检测。
5 由于制作或施工现场条件受到限制,焊缝检测按B级检验无法进行单面双侧检测时,可在焊缝单面、单侧采用两种角度探头(两角度之差大于15度)进行检测。
6 在超声波检验不能对缺陷作出判断或对超声波检验结果有疑议时,可采用射线探伤。其内部缺陷分级及探伤方法应分别符合国家现行有关标准的规定。
7 当设计文件无明确要求时,角焊缝外观质量标准可为三级。
7.1.9 对每条焊缝按规定的百分比进行探伤时,每条长度不应小于200mm。对工厂制作焊缝长度过长时,可将一条焊缝划分为每300mm为一个检查个体计数抽样检测。
7.1.10 焊缝质量超出本规程不允许的缺陷时,操作人员不得擅自处理,应通知相关焊接技术人员共同对缺陷产生的原因进行调查和分析,制订专门返修工艺方案,并严格按照返修工艺文件处理。重要部位的返修工艺方案,报经设计和监理工程师认可批准后方可实施。
7.1.11 钢管焊接坡口的尺寸如设计文件未注明具体要求时,可按表7.1.11要求加工。
表7.1.11 焊接坡口允许偏差

7.1.12 钢管冷校正的环境温度不得低于-12℃。低炭钢和普通低合金钢热矫正加热温度宜为600℃~900℃,不得超过900℃,低合金钢热矫正后应自然冷却。矫正表面不应有明显的凹面或损伤,尺寸偏差不应超出构件的允许偏差。
7.1.13 钢管构件制作完成后,应按施工图和现行国家标准《钢结构工程施工质量验收规范》GB 50205的规定进行验收。
7 钢管混凝土构件的加工制作与施工
7.1 钢管的加工制作
7.1.1 钢管的加工制作应根据设计文件绘制钢结构施工详图,并应按设计文件和施工详图的要求编制制作工艺文件,确定钢管的分段或拼焊。钢管加工制作前,对钢材及焊接材料应按现行国家标准《钢结构工程施工质量验收规范》GB 50205的规定进行复验,材料应符合设计要求和国家现行有关产品标准的规定。
7.1.2 钢管段制作的允许偏差应符合表7.1.2的要求,按一般结构(输电线杆塔等)和特殊结构(对结构安装精度有特殊要求的结构,如格构式高塔、建筑结构的柱等)分类。
表7.1.2 管段制作允许偏差

7.1.3 钢管下料应根据工艺要求预留制作时的焊接收缩量和切割、端铣等的加工余量。
7.1.4 对首次应用于钢结构工程的钢材、进口钢材、设计规定的钢材类别和焊接材料、焊接方法、接头形式、焊接位置、多层施焊、焊后热处理等工艺条件,以及施工单位首次采用各种参数的组合条件施工时,都应进行焊接工艺评定,并应根据评定报告确定焊接工艺,编写作业指导书。焊工应经过考试并取得焊工资格证后,方可从事证件认可范围内的焊接工作。
7.1.5 钢管焊缝的施工应严格按照设计文件及焊接工艺文件规定的焊接方法、工艺参数及施焊顺序进行,并应符合现行国家标准《钢结构焊接规范》GB 50661的相关规定。
7.1.6 对于大直径钢管,当采用直缝焊接钢管时,等径钢管相邻纵缝间距不宜少于300mm,纵向焊缝沿圆周方向的数量不宜超过2道。相邻两节管段对接时,纵向焊缝应互相错开,间距不宜小于300mm。
7.1.7 钢管的接长必须保证所有对接熔透焊缝的质量,达到与母材等强,焊缝质量为一级,每个制作单元宜为一个接头;当钢管采用卷制方式加工成型时,可允许适当增加接头。钢管的接长最短拼接长度应符合现行国家标准《钢结构工程施工质量验收规范》GB 50205的规定。
7.1.8 焊缝质量检验除应全部进行外观尺寸、表面缺陷检查合格外,对全焊透的一、二级焊缝必须按规定进行超声波探伤检测,其内部缺陷的检测应符合下列规定:
1 一级焊缝应进行100%检测,其合格等级应符合现行行业标准《钢结构超声波探伤及质量分级法》JG/T 203中B级检验的Ⅱ级或Ⅱ级以上要求。
2 二级焊缝应进行30%~50%抽样检测,其合格等级应符合现行行业标准《钢结构超声波探伤及质量分级法》JG/T 203中B级检验的Ⅲ级或Ⅲ级以上要求。
3 三级焊缝应根据设计文件要求进行相关的超声波探伤检测。
4 现场连接全焊透焊缝应进行100%检测,焊缝等级应根据设计文件要求进行相关的超声波探伤检测。
5 由于制作或施工现场条件受到限制,焊缝检测按B级检验无法进行单面双侧检测时,可在焊缝单面、单侧采用两种角度探头(两角度之差大于15度)进行检测。
6 在超声波检验不能对缺陷作出判断或对超声波检验结果有疑议时,可采用射线探伤。其内部缺陷分级及探伤方法应分别符合国家现行有关标准的规定。
7 当设计文件无明确要求时,角焊缝外观质量标准可为三级。
7.1.9 对每条焊缝按规定的百分比进行探伤时,每条长度不应小于200mm。对工厂制作焊缝长度过长时,可将一条焊缝划分为每300mm为一个检查个体计数抽样检测。
7.1.10 焊缝质量超出本规程不允许的缺陷时,操作人员不得擅自处理,应通知相关焊接技术人员共同对缺陷产生的原因进行调查和分析,制订专门返修工艺方案,并严格按照返修工艺文件处理。重要部位的返修工艺方案,报经设计和监理工程师认可批准后方可实施。
7.1.11 钢管焊接坡口的尺寸如设计文件未注明具体要求时,可按表7.1.11要求加工。
表7.1.11 焊接坡口允许偏差

7.1.12 钢管冷校正的环境温度不得低于-12℃。低炭钢和普通低合金钢热矫正加热温度宜为600℃~900℃,不得超过900℃,低合金钢热矫正后应自然冷却。矫正表面不应有明显的凹面或损伤,尺寸偏差不应超出构件的允许偏差。
7.1.13 钢管构件制作完成后,应按施工图和现行国家标准《钢结构工程施工质量验收规范》GB 50205的规定进行验收。
7.2 钢管混凝土构件的除锈、防腐涂装
7.2.1 除锈、防腐涂装工艺应根据设计文件要求选择。设计未提出具体内、外表面处理方法时,内表面处理应无可见油污、无附着不牢的氧化皮、铁锈或污染物;外表面可根据涂料的除锈匹配要求,采用适当处理方法,确保涂装材料附着力达到相关规定要求。
7.2.2 构件防腐涂装可采用喷涂锌、热镀锌、喷刷涂料等方式。喷涂锌、热镀锌工艺顺序都宜安排在浇筑混凝土工艺之前。
7.2.3 热镀锌涂装工艺应符合现行国家标准《金属件覆盖层、钢铁制品热镀锌层技术要求》GB/T 13912的规定。
7.2.4 喷涂锌涂装应符合下列规定:
1 喷涂锌防腐涂装工艺应符合国家现行标准《金属件和其他无机覆盖层-热喷涂锌、铝及其合金》GB/T 9793的规定。施工方法可采用电弧喷锌和热喷锌等方式。质量控制执行现行国家标准《热喷涂-热喷涂结构的质量要求》GB/T 19352的规定。
2 喷涂锌防腐涂装前的基体表面应达到Sa2.5~Sa3的要,并采用抛丸或喷砂工艺。处理后的构件表面,应达到表面粗糙度RZ(40~80)μm。
3 喷涂锌材料宜采用99.95%~99.99%纯度的产品。
4 经抛丸或喷砂处理后的基体表面应尽快进行喷涂锌,在晴天及相对湿度不大于85%的天气,时间间隔不应超过12h。雨天、湿度大或含盐雾环境下,时间间隔不应超过2h。当停置时间过长或其他原因,致使基体表面明显改变,影响喷涂锌质量时,应重做抛丸或喷砂处理。
5 喷涂锌应在环境相对湿度不大于85%、环境气温高于5℃及基体金属的表面温度高于空气露点3℃以上时施工。在雨天、潮湿或含盐雾的环境中,喷涂锌操作应在室内进行,避免湿度过大,钢材表面和金属磨料生锈。
6 锌涂层厚度应根据环境介质对结构的腐蚀性按设计要求确定。锌涂层的最小局部厚度应符合下列规定:严重腐蚀地区大于或等于160μm;较严重腐蚀地区大于或等于140μm;一般地区大于或等于120μm;轻腐蚀地区大于或等于100μm。
7 设计文件要求对锌涂层进行封闭处理时,涂层的封闭材料(封闭漆)应具备下列条件:
1) 封闭材料应能与锌涂层相容;
2) 封闭材料应具有对构件所处的环境要求的耐腐蚀性;
3) 封闭材料应具有较低的粘度,易渗入到锌涂层的孔隙中去。
8 锌涂层的检验方法应按照现行国家标准《金属件和其它无机覆盖层-热喷涂锌、铝及其合金》GB/T 9793的规定执行。锌涂层的质量检查应包括:外观、涂层厚度、结合性能、耐腐蚀性能和密度等,并满足设计要求。
7.2.5 涂料防腐涂装应符合下列规定:
1 涂料的配制及施工应符合涂装设计的品种、涂层结构和涂层厚度的要求。涂装方法宜为高压无气喷涂法、空气喷涂法、刷涂法和滚涂法,并按照供应商产品说明书推荐的方法执行。
2 涂料产品应具备产品合格证、产品使用说明书和材料安全数据手册等。存放过久和超过保存期的涂料,应取样进行质量检测。
3 涂料的颜色和光泽应符合设计要求,宜制作样板,封存对比。
4 涂装环境应符合下列规定:
1) 在雨、雪、雾和较大灰尘的条件下,以及预见到这些情况即将发生的条件下,不应进行户外涂装施工。风力在4~6级时,不宜使用无气喷涂和空气喷涂。
2) 环境温度和相对湿度应符合涂料产品说明书的要求,无具体说明时,环境气温宜在35℃~38℃之间,相对湿度不应大于85%。涂装时构件表面不应有结露,表面温度应高于环境露点温度3℃以上。
3) 涂装后的干燥、养护时间应符合涂料产品说明书的要求,产品说明书无具体说明时,4h内不应雨淋。
5 涂层的检验应符合设计要求。涂层不应有漏涂、脱皮、皱皮等现象,涂层表面要均匀,无明显气泡、针眼和流坠等。设计无要求时,涂层干漆膜总厚度室外构件应为150μm,室内构件应为125μm。
7.3 实心钢管混凝土浇灌
7.3.1 管内混凝土可采用泵送顶升浇灌法、立式手工浇捣法或高位抛落无振捣法。
7.3.2 采用泵送顶升浇灌法时,钢管直径不宜小于泵直径的2倍。钢管柱内不应有隔板等阻碍物。
7.3.3 立式手工浇捣法,当钢管直径大于350mm时,可采用内部振捣器(振捣棒或锅底形振捣器等)。每次振捣时间10s~30s,一次浇筑高度不宜大于2m;当钢管直径小于350mm时,可采用附着在钢管上的外部振捣器进行振捣,外部振捣器的位置应随着混凝土的浇筑的进展加以调整振捣。外部振捣器的工作范围,以钢管横向振幅不小于0.3mm为有效,振幅可用百分表实测。每次振捣时间10s~30s,一次浇筑的高度不宜大于振捣器的有效工作范围和2m~3m柱长。
7.3.4 采用高位抛落无振捣法时,钢管直径宜大于350mm,且高度不宜小于4m。对于抛落高度不足4m的区段,应用内部振捣器振实。一次抛落的混凝土量宜在0.35m3~0.7m3左右,用料斗装填,料斗的下口尺寸应比钢管内径小100mm~200mm。
7.3.5 混凝土配合比应根据混凝土设计等级计算,通过试验后确定,并应混凝土满足强度和塌落度的要求。对于泵送顶升浇灌法和立式高位抛落无振捣法,粗骨料粒径可采用5mm~3Omm,水灰比不宜大于0.45,塌落度不宜小于15cm;对于立式手工浇捣法,粗骨料粒径可采用10mm~40mm,水灰比不宜大于0.4,塌落度120mm~140mm。当管内有穿心部件时,粗骨料粒径宜减小为5mm~20mm,塌落度不宜小于150mm。为满足上述塌落度的要求,宜掺适量的减水剂。为减少收缩量,也可掺入适量混凝土微膨胀剂。
7.3.6 钢管内的混凝土浇灌工作,宜连续进行,当必须间歇时,间
歇时间不应超过混凝土的终凝时间。在高层建筑中,宜以(3~4)层柱浇灌一次混凝土,并留置施工缝;一次浇灌混凝土后,应将管口封闭,防止水、油和其它异物等落入。
7.3.7 每次浇灌混凝土前(包括施工缝)应先浇灌一层厚度为1 00 mm~200 mm的与混凝土等级相同的水泥砂浆。对于设计混凝土强度等级大于C60及以上时,应编制专项施工方案和技术措施,保证浇筑结合处的质量要求。
7.3.8 当混凝土浇灌到钢管顶端时,可按下列步骤施工:
1 使混凝土稍微溢出后,再将留有排气孔的层间横隔板或封顶板紧压到管端,随即进行点焊;待混凝土达到设计强度的50%后,再将横隔板或封顶板按设计要求补焊完成。
2 将混凝土浇灌到稍低于管口位置,待混凝土达到设计强度的50%后,再用相同等级的水泥砂浆补填至管口,并按上述方法将横隔板或封顶板一次封焊到位。
7.3.9 管内混凝土的浇灌质量,可用敲击钢管的方法进行初步检查,当有异常时,可用超声波进行检测。对不密实的部位,应采用钻孔压浆法进行补强,然后将钻孔进行补焊封固。
7.3.10 采用海砂配置混凝土用于实心钢管混凝土且全封闭时,其氯离子的含量可不经处理或不需到达重量比的要求。当采用再生骨料配置混凝土时,应采取措施减少混凝土的收缩量。海砂、再生、自密实混凝土的施工要求,尚应符合相关现行行业标准的要求。
7.4 离心法生产空心钢管混凝土构件的技术要求
7.4.1 混凝土所有原材料质量应符合国家现行有关标准的规定,混凝土严禁使用含氯化物类的外加剂。
7.4.2 混凝土配合比设计应符合现行行业标准《普通混凝土配合比设计规程》JGJ 55的规定。混凝土配合比应根据离心成型法、养护方法、实际使用的原材料及混凝土强度等级、耐久性、工作性能等进行设计。首次使用的混凝土配合比应进行开盘鉴定,其性能应满足配合比设计的要求,生产时应至少留一组标准养护试件,作为验证配合比的依据。
7.4.3 混凝土浇筑前,钢管应进行复验,复验合格后,方可进行混凝土浇筑。
7.4.4 混凝土的离心法成型工艺应符合现行国家标准《环形钢筋混凝土电杆》GB 396的规定。离心混凝土构件制作应采用钢模离心工艺。
7.4.5 构件经离心成型后,宜静停1h后进行蒸汽养护,养护升温、恒温和降温过程程序应合理安排。养护前应清除残留在管段外壁及端部的混凝土残留物。
构件经养护后,其同条件养护标准试件的混凝土强度不应低于混凝土设计强度的70%。产品出厂时,同条件养护的标准试件的混凝土强度不应低于混凝土设计强度。
7.4.6 钢管混凝土管段经离心成型后,其内表面混凝土不得有塌落,钢管内混凝土管壁厚度允许偏差应为(-5,+8)mm。养护完成后,混凝土不应有裂缝。
7.4.7 混凝土的强度等级必须符合设计要求,混凝土的强度检验评定应按现行国家标准《混凝土强度检验评定标准》GB/T 50107的规定执行。试件的制作宜采用与生产过程相同的工艺方法,取样数量应符合下列规定:
1 同批构件拌制同一配合比的混凝土时,每工班取样不得少于一次。
2 同批构件拌制同一配合比的混凝土时,每拌制100盘且不超过100m3,取样不少于一次。
3 每次取样应至少留一组标准养护试件,同条件养护试件应按实际需要确定。
7.5 钢管混凝土结构的施工
7.5.1 钢管混凝土结构的施工除应符合本规程的规定外,尚应符合现行国家标准《钢结构工程施工质量验收规范》GB 50205和《混凝土结构工程施工质量验收规范》GB 50204等的要求。
7.5.2 钢管混凝土结构的施工单位应具有相应的钢结构施工资质,施工现场的质量管理应有相应的技术标准、质量管理体系、质量控制及检验制度,施工现场应有经项目技术负责人审批的施工方案等技术文件。
7.5.3 构件进场后,应根据设计文件和施工详图的要求进行核对和验收。检查出厂质量证明文件及相关的质量检验报告。必要时现场可对构件进行抽样检查。构件的外形尺寸应符合本规程及现行国家标准《混凝土结构工程施工质量验收规范》GB 50204中的预制构件尺寸允许偏差的规定。
7.5.4 构件的堆放和吊装可由施工单位设计支点,经设计单位确认后,才能进行作业。堆放场地应平整、坚实和排水良好,垫木支垫平稳、位置准确、保持在同一平面内,堆放不宜超过4层。吊装作业时,全过程应平稳进行,防止碰撞、歪扭、快起和急停。严格控制吊装荷载作用下的变形,吊点位置应根据构件本身的承载力与稳定性经验算后确定,必要时应采取临时加固措施。在构件吊装就位后应立即进行校正,同时采取可靠的临时固定措施保证构件的稳定性。
7.5.5 构件现场施工采用的钢材、焊接材料、连接材料等的性能应满足本规程的规定。
7.5.6 构件采用现场焊接拼接时,焊缝应符合现行国家标准《钢结构焊接规范》GB 50661的规定和设计对焊缝的要求进行施工和检测。事前应通过焊接工艺评定,确定焊接方法、工艺参数和施焊程序。施工时严格按工艺评定报告进行控制,减少焊接残余应力和残余变形。
7.5.7 构件采用法兰连接时,螺栓连接副的施工应符合节点设计的要求,施工验收应符合现行国家标准《钢结构工程施工质量验收规范》GB 50205的规定。
7.5.8 钢管混凝土桩的施工验收应符合现行行业标准《建筑桩基皮术规范》JGJ 94的规定。
7.5.9 钢管混凝土结构工程的施工验收应根据现行国家标准《建筑工程施工质量验收统一标准》GB 50300的规定,编写分项工程贡量验收等施工质量验收文件。
7.6 钢管混凝土构件的检验、标志和保管
7.6.1 构件制作完成后,应按照施工图和本规程要求进行检验。
构件的外观不应有严重缺陷和影响结构性能、安装、使用功能的尺寸偏差。对外观质量有严重缺陷的构件,应按技术处理方案进行处理,并重新进行检查验收。构件上的预埋件、预留孔等应符合设计要求。
7.6.2 构件应在明显部位标明生产单位、构件型号、生产日期和质量验收标志。
7.6.3 构件生产单位应提供的产品证明文件:
1 生产单位资质证明文件。
2 焊接人员、检验人员资质证明文件。
3 构件质量合格证明文件:
1) 原材料的性能检验及复验报告;
2) 焊接工程质量验收记录;
3) 混凝土配合比验证报告;
4) 混凝土的强度等级报告;
5) 制成品的检查验收报告。
4 构件型号、标识、生产日期、质量验收标志。
5 供需双方约定提供的其他文件。
7.6.4 产品宜采用两支点堆放,支点位置宜为离杆端0.2倍构件长度处,长构件在场地条件较好时可采用三支点堆放。产品应按规格类别分开堆放,堆放构件层数不宜超过4层。
7.6.5 产品起吊宜使用吊装带绑扎,采用两支点法吊装,每次吊运数量不宜超过2根。
8 防火设计
8.0.1 没有保护层时,钢管混凝土构件的耐火时间可按本规程附录C.0.4条计算得到或C.0.5条简化计算得到,也可按表8.0.1取值:
表8.0.1 不同荷载比下钢管混凝土构件的耐火时间 t (min)

注:1 空心率为0时,是实心钢管混凝土构件;
2 等效外径对于圆形截面取钢管外径;对于多边形截面,按面积相等等效成圆形截面。
8.0.2 当防火材料为非膨胀型涂料时,钢管混凝土构件保护层厚度可以按本规程附录C.0.7条计算得到,也可按表8.0.2-1、表8.0.2-2取值。
表8.0.2-1 耐火等级为2.5h时非膨胀型防火涂料厚度 d (mm)取值表

注:1 等效外径对于圆形截面为钢管外径;对于多边形截面,按面积相等等效成圆形截面;
2 保护层导热系数 λ=0.116W/(m·℃)。
表8.0.2-2 耐火等级为3h时非膨胀型防火涂料厚度 d (mm)取值表

注:1 等效外径对于圆形截面为钢管外径;对于多边形截面,按面积相等等效成圆形截面;
2 保护层导热系数 λ=0.116W/(m·℃)。
8.0.3 当保护层为水泥砂浆时,钢管混凝土保护层厚度按本规程附录第C.0.7条计算得到,也可按表8.0.3-1、8.0.3-2取值。
表8.0.3-1 耐火等级为2.5h时水泥砂浆保护层厚度 d (mm)取值表

注:等效外径对于圆形截面为钢管外径;对于多边形截面,按面积相等等效成圆形截面。
表8.0.3-2 耐火等级为3h时时水泥砂浆保护层厚度 d (mm)取值表

注:等效外径对于圆形截面为钢管外径;对于多边形截面,按面积相等等效成圆形截面。
8.0.4 每个楼层的柱钢管壁均应设置直径不小于12mm的排气孔,其位置宜位于柱与楼板相交位置上方及下方100mm处,并沿柱身反对称布设。
附录A 各种截面的形常数
表A 各种截面形常数表

注:1 六边形截面根据等效圆截面原理计算:已知边长 a 和钢管厚度 t ,则形心至边的垂直距离r=2.514a,形心至钢材内壁的垂直距离r1=r-t,由此,得等效圆截面的半径R=2.53a;等效圆截面钢管的内半径Rco=1.007(2.5137a-t),等效圆截面钢管的厚度 t=R-Rco;
2 截面:空心部分的半径rci,空心部分的面积Ah=π rci2,空心部分的惯性矩Ih=π rci4/4,由此可计算各种截面的混凝土部分的面积和惯性矩。
附录B 钢管混凝土构件受压强度设计值
表B-1 钢管混凝土实心圆形和正十六边形截面的受压强度设计值 fss (N/mm2)

注:第一二三组钢材均取同一值。
表B-2 钢管混凝土实心正八边形截面的受压强度设计值 fss (N/mm2)

注:第一二三组钢材均取同一值。
表B-3 钢管混凝土实心正方形截面的受压强度设计值 fss (N/mm2)

注:第一二三组钢材均取同一值。
表B-4 钢管混凝土空心圆形和正十六边形截面的受压强度设计值 fh(N/mm2)

注:第一二三组钢材均取同一值。
表B-5 钢管混凝土空心正八边形截面的受压强度设计值 fh(N/mm2)

注:第一二三细钢材均取同一值。
表B-6 钢管混凝土空心正方形截面的受压强度设计值 fh(N/mm2)

注:第一二三组钢材均取同一值。
附录C 钢管混凝土构件防火计算方法
C.0.1 火灾下升温曲线表达式为:

式中:t——时间,min;
Tf——火灾温度,℃;
T0——初始环境温度,取20℃。
C.0.2 高温下材料的力学特性和热工参数应符合下列规定:
1 高温下钢材的强度设计值:

式中:f——常温下的钢材强度设计值;
T——钢材的温度;
e——自然对数底,e=2.71828。
2 高温下钢材的弹性模量EsT:

式中:Es——常温下钢材的弹性模量;
T——钢材的温度。
3 高温下混凝土的强度设计值 fcT为:

式中:fc——常温下的混凝土强度设计值;
T——混凝土的温度。
4 高温下混凝土弹性模量EcT为:

式中:Ec——常温下的混凝土弹性模量;
T——混凝土的温度。
5 钢管的热工参数:
1) 钢材的密度:

2) 钢材导热系数:

3) 钢材的比热:

4) 钢材的热膨胀系数:

6 混凝土的热工参数
1) 混凝土的密度:

2) 混凝土的导热系数:

3) 混凝土的比热:

4) 混凝土的热膨胀系数:

C.0.3 标准升温曲线下构件的温度场计算应符合下列规定:
钢管的温度Ts:

式中:t ——时间,h;
Ta——钢管的温度,℃;
ds——钢管的等效厚度,根据面积等效成圆形的厚度,m。
混凝土的平均温度 Tc:

式中:t ——时间,h;
Tc——混凝土的平均温度,℃;
Lc——混凝土的等效厚度,按面积等效成圆形的厚度,m;
Ψ——空心率。
根据公式(C.0.3-1),关键时间点的钢管的温度也可按表C.0.3-1取值。
表C.0.3-1 钢管的温度Ts(℃)

其他情况通过插值得到,当钢管的厚度超过12mm时,偏于安全按12mm对应的温度取值。
根据公式(C.0.3-2),偏于安全的取钢管厚度为3mm,则关键时间点处混凝土的平均温度见表C.0.3-2。
表C.0.3-2 凝土的平均温度 Tc(℃)

注:其他情况通过双向插值得到。
C.0.4 标准火灾升温曲线下构件的抗压承载力的计算应符合下列规定:
1 火灾下构件的强度设计值fscT和承载力应按下列公式计算:

式中:f T—— t 时刻高温下钢管的强度,按公式(C.0.2-1)计算,其中温度按(C.0.3-1)计算;
f Tc—— t 时刻高温下混凝土的平均强度。考虑温度的不均匀性,混凝土的平均强度按下述计算:

式中:Tc——混凝土的平均温度,按公式(C.0.3-3)计算;
θT—— t 时刻高温下,钢管混凝土的套箍系数,θT=Af T/Acf Tc;
kT——考虑火灾影响的截面修正系数,圆形取0.3,八边形取0.2,方形取0.15。
2 火灾下构件的强度承载力应按下式计算:

3 火灾下构件的稳定承载力按下式计算:

式中:NUT—— t 时刻,钢管混凝土的稳定承载力;
N0T—— t 时刻,钢管混凝土的强度承载力;
φT—— t 时刻,钢管混凝土的稳定系数,按公式(C.0.4-6)计算。
高温下的稳定系数计算公式如下:

式中:λ Tsc——高温下的正则长细比,
λsc——构件的长细比;
f Tsc—— t 时刻,钢管混凝土的强度设计值,按公式(C.0.4-1)计算;
Asc——钢管混凝土的截面积,等于钢管和混凝土截面面积之和;
ETsc—— t 时刻,钢管混凝土的弹性模量;
ETs—— t 时刻,高温下钢材弹性模量;按公式(C.0.2-2)计算,其中温度按公式(C.0.3-1)计算;
ETc—— t 时刻,高温下混凝土的平均弹性模量,考虑温度的不均匀性;
Tc——混凝土的平均温度,按公式(C.0.3-3)计算。
如果已知构件火灾下的外荷载NT,令NT=N Tu,按公式C.0.4-5采用迭代或试算法,可以得到没有保护层时构件的耐火时间 t 。如果已知构件火灾下的荷载比 nf,令NT= nfNu,Nu按本规程公式(5.1.7-1)取。
根据公式(C.0.2-1)和表C.0.3-1,给出关键时间点的钢材的强度折减系数,见表C.0.4-1。
表C.0.4-1 不同时间点的钢材强度折减系数 ks,f

其他情况通过插值得到,当钢管的厚度超过12mm时,偏于安全按12mm对应的温度取值。
根据公式(C.0.2-2)和表C.0.3-1,给出关键时间点的钢材的弹性模量折减系数,见表C.0.4-2。
表C.0.4-2 不同时间点的钢材弹性模量折减系数kc,f

其他情况通过插值得到,当钢管的厚度超过12mm时,偏于安全按12mm对应的温度取值。
根据公式(C.0.4-3)和表C.0.3-2,给出关键时间点的混凝土平均强度折减系数,见表C.0.4-3。
表C.0.1-3 同时间点的混凝土平均强度折减系数kc,f

注:其中情况通过双向插值得到。
根据公式(C.0.4-8)和表C.0.3-2,给出关键时间点,混凝土平均弹性模量的折减系数,见表C.0.4-4。
根据公式(C.0.4-6),高温下钢管混凝土轴压构件的稳定系数也可查表C.0.4-5。
火灾下的正则长细比λTsc中的f Tsc和E Tsc分别按公式(C.0.4-1)和公式(C.0.4-7)计算,其中高温下的材料参数可以直接通过公式计算得到,也可以查表格。
表C.0.4-4 不同时间点的混凝土平均弹性模量折减系数 kc,e

注:其中情况通过双向插值得到。
表C.0.4-5 高温下轴压构件的稳定系数

C.0.5 火灾下无保护层时钢管混凝土承载力折减系数,可由下面简化公式算得:

式中:t ——无保护层时的耐火时间,min;
d ——钢管厚度,m;
D ——钢管外径,m;
ψ ——空心率。
设 nf为荷载比,即防火设计时的荷载效应(轴力设计值)和正常设计时的承载能力(轴压强度设计值)之比,则当荷载比 nf=kTsc,耐火时间 tsc可由下式简化计算:

C.0.6 利用空心钢管混凝土中空部分注水的构件,注水对钢管混凝土构件耐火时间的影响应符合下列规定:
1 当荷载比小于0.1时,注水对耐火时间影响较大,构件的耐火时间达到3h以上,保守按3h计算。
2 当荷载比小于0.4且空心率大于0.65的钢管混凝土构件,注水对耐火时间的影响不大,不考虑注水的影响,按不注水钢管混凝土构件计算耐火时间。
3 当荷载比在0.1和0.4之间时,注水对构件耐火时间的影响可以第1和第2点的荷载比插值得到。
C.0.7 当防火材料为非膨胀型涂料时,保护层厚度可按下列公式计算:

当防火材料为钢丝网抹M5普通水泥砂浆时,厚度可按下列公式计算:

式中:d——保护层厚度,mm;
λ——保护层的导热系数,W/(m·℃);
tsc——没有保护层时,构件的耐火时间,min;可以根据本规程附录C.0.4节反算得到或根据C.0.5节简化计算得到;
te——涂保护层后希望达到的耐火时间,min。
C.0.8 钢管再生混凝土的耐火时间应取普通钢管混凝土耐火时间的
倍。
本规程用词说明
1 为便于在执行本规程条文时区别对待,对要求严格程度不同的用词说明如下:
1) 表示很严格,非这样做不可的:
正面词采用“必须”,反面词采用“严禁”;
2) 表示严格,在正常情况下均应这样做的:
正面词采用“应”,反面词采用“不应”或“不得”;
3) 表示允许稍有选择,在条件许可时首先应这样做的:
正面词采用“宜”,反面词采用“不宜”;
4) 表示有选择,在一定条件下可以这样做的,采用“可”。
2 条文中指明应按其他有关标准执行的写法为:“应符合……的规定”或“应按……执行”。
引用标准名录
《建筑结构荷载规范》GB 50009
《混凝土结构设计规范》GB 50010
《建筑抗震设计规范》GB 50011
《钢结构设计规范》GB 50017
《建筑结构可靠度设计统一标准》GB 50068
《普通混凝土力学性能试验方法标准》GB/T 50081
《建筑结构术语和符号标准》GB/T 50083
《混凝土强度检验评定标准》GB/T 50107
《高耸结构设计规范》GB 50135
《构筑物抗震设计规范》GB 50191
《混凝土结构工程施工质量验收规范》GB 50204
《钢结构工程施工质量验收规范》GB 50205
《建筑工程抗震设计分类标准》GB 50223
《建筑工程施工质量验收统一标准》GB 50300
《钢结构焊接规范》GB 50661
《环形钢筋混凝土电杆》GB 396
《碳素结构钢》GB/T 7OO
《钢结构用高强度大六角头螺栓》GB/T 1228
《钢结构用高强大六角螺母》GB/T 1229
《钢结构用高强度垫圈》GB/T 1230
《钢结构用高强度大六角头螺栓、大六角螺母、垫圈技术条件》GB/T 1231
《低合金高强度结构钢》GB/T 1591
《钢结构用扭剪型高强度螺栓连接副》GB/T 3632
《焊接结构用耐候钢》GB/T 4172
《碳钢焊条》GB/T 5117
《低合金钢焊条》GB/T 5118
《六角头螺栓-C级》GB/T 5780
《六角头螺栓》GB/T 5782
《冷弯型钢》GB/T 6725
《气体保护电弧焊用碳钢、低合金钢焊丝》GB/T 8110
《金属和其他无机覆盖层-热喷涂锌、铝及其合金》GB/T 9793
《建筑构件耐火试验方法》GB/T 9978
《电弧螺柱焊用圆柱头焊钉》GB/T 10433
《直缝电焊钢管》GB/T 13793
《金属覆盖层、钢铁制件热浸镀锌层技术要求及试验方法》GB/T
13912
《钢结构防火涂料》GB 14907
《热喷涂-热喷涂结构的质量要求》GB/T 19352
《混凝土和砂浆用再生细骨料》GB/T 25176
《混凝土用再生粗骨料》GB/T 25177
《高层建筑混凝土结构技术规程》JGJ 3
《普通混凝土配合比设计规程》JGJ 55
《建筑桩基技术规范》JGJ 94
《高层民用建筑钢结构技术规程》JGJ 99
《建筑结构用冷弯矩形钢管》JG/T 178
《钢结构超声波探伤及质量分级法》JG/T 203
《海砂混凝土应用技术规范》JGJ 206
《再生骨料应用技术规程》JGJ/T 240
《自密实混凝土应用技术规程》JGJ/T 283
《建筑构件防火喷涂材料性能试验方法》GA 110
中国工程建设协会标准
实心与空心钢管混凝土结构技术规程
CECS 254:2012
条文说明
1 总则
1.0.1~1.0.4 自20世纪70年代始,实心圆截面钢管混凝土结构在工程中广泛采用,如厂房柱、构架柱和高层建筑中的柱;而且由圆截面发展到矩形截面和方形截面。
空心钢管混凝土是上世纪八十年代在电力工业中的送电和变电构架中采用的一种新型构件。工厂制造,现场安装,施工特别方便。且比全钢塔架省钢,经济效果明显。因而,得到了广泛的采用。随着工业发展和使用范围的不断扩大,空心钢管混凝土构件已应用于中型工业厂房中。同时,除圆形截面外,又出现了正方形,正八边形和正十六边形等截面形式。2009年中国工程建设标准化协会颁布实施了《空心钢管混凝土结构技术规程》CECS 254:2009。
空心钢管混凝土构件不但适用于杆塔结构、工业厂房与民用建筑中,也适用于基础桩。
在多高层房屋中,采用空心钢管混凝土柱,避免了现场浇灌混凝土,既有利于环境保护,又减轻了结构自重,还可利用柱子中部的空心部分,用作设备管线的通道。因而是很有发展前途的一种新型结构。目前在高层建筑中尚无采用实例,建议用于15层以下的多层建筑;而在高层建筑中,可用10几层以上的顶层。
《实心与空心钢管混凝土结构技术规程》CECS 254中采用的设计方法是我国创立的“钢管混凝土统一理论”的统一设计公式。根据《钢管混凝土统一理论》,无论是实心或空心,也无论是圆形和其他正方形和多边形截面,设计公式是统一的,这大大方便了设计工作。
本规程中的很多参数,如材料和连接的强度等,都引用了国家现行有关标准的规定,因此,除本规程有明确的规定外,设计时还必须遵守国家现行有关的标准。
本规程也适用于一些构筑物,如风力发电机组塔架、微波塔等。
3 材料
3.1 钢材
3.1.1 钢管混凝土构件都用于房屋和构架中的柱子,不直接承受动力荷载,因而对钢材的选用,只提出B级和C级钢的要求。
为了防止钢管混凝土柱在低温条件下可能发生脆性破坏,提出了根据钢材冲击韧性的要求选择钢材的等级。
对于露天采用的钢管混凝土构件,或在腐蚀性强的环境下的钢管混凝土构件,可采用耐候钢和高性能耐火耐候建筑用钢。但由于耐候钢和高性能耐火耐候建筑用钢的价格较高,应进行经济比较,认为合理时才采用。
3.1.2 钢管选择参见刘迎春、柴昶《关于钢管结构中合理选材的探讨》,建筑结构,2010年5月。
3.1.4 抗震设计时,对钢材的要求是根据现行国家标准《建筑抗震设计规范》GB 50011制定的。
3 材料
3.1 钢材
3.1.1 钢管混凝土构件都用于房屋和构架中的柱子,不直接承受动力荷载,因而对钢材的选用,只提出B级和C级钢的要求。
为了防止钢管混凝土柱在低温条件下可能发生脆性破坏,提出了根据钢材冲击韧性的要求选择钢材的等级。
对于露天采用的钢管混凝土构件,或在腐蚀性强的环境下的钢管混凝土构件,可采用耐候钢和高性能耐火耐候建筑用钢。但由于耐候钢和高性能耐火耐候建筑用钢的价格较高,应进行经济比较,认为合理时才采用。
3.1.2 钢管选择参见刘迎春、柴昶《关于钢管结构中合理选材的探讨》,建筑结构,2010年5月。
3.1.4 抗震设计时,对钢材的要求是根据现行国家标准《建筑抗震设计规范》GB 50011制定的。
3.2 混凝土
3.2.1 考虑到混凝土与钢材的合理匹配,以及保证质量,提出了混凝土强度等级不低于C30的要求。目前现场浇灌混凝土常采用C40~C60,超高层建筑中有采用C80的。
实心钢管混凝土构件延性较好,可采用高强混凝土,以提高强度并减小截面面积。当混凝土强度超过C80时,在混凝土结构设计规范中对材料强度等参数没有具体规定,设计时应有可靠依据。
3.2.2 国内外学者对氯离子对钢筋混凝土的腐蚀作用已经做了很多研究,但应用海砂时的腐蚀情况依然严峻,而利用淡水处理等方法为海砂脱盐又非常浪费资源。随着河砂资源的日益匮乏,应用海砂已经成为一种趋势,可保护环境,节约资源。实心钢管混凝土构件内混凝土的腐蚀作用较弱,可应用海砂混凝土。在空心钢管混凝土构件中不能采用海砂混凝土。
3.2.3 现行国家标准《混凝土用再生粗骨料》GB/T 25177中对“混凝土用再生粗骨料”定义为:由建(构)筑废物中的混凝土、砂浆、石、砖瓦等加工而成,用于配制混凝土的、粒径大于4.75mm的颗粒。现行国家标准《混凝土和砂浆用再生细骨料》GB/T
25176中对“混凝土和砂浆用再生细骨料”定义为:由建(构)筑废物中的混凝土、砂浆、石、砖瓦等加工而成,用于配制混凝土和砂浆的粒径不大于4.75mm的颗粒。再生粗骨料、再生细骨料定义只
规定来源和粒径,且废弃混凝土除了废弃普通混凝土,还可以是废弃陶粒混凝土、废弃加气混凝土等。事实上,再生粗骨料、再生细骨料的来源也不仅局限于定义中列出的几种建筑废物,还可能来源于废弃墙板、废弃砌块等。
再生粗骨料颗粒级配和性能指标应分别符合表1和表2的规定。
表1 再生粗骨料颗粒级配

表2 再生粗骨料性能指标

混凝土在配制过程中掺用再生骨料,较常见的是再生粗骨料部分取代或全部取代天然粗骨料,而细骨料采用天然砂;也有应用实例是再生粗骨料、再生细骨料分别部分取代天然粗骨料和天然砂。根据工程需要和再生骨料性能品质不同,再生骨料取代天然骨料的比例范围很宽泛。一般情况下,再生骨料取代天然骨料的质量百分比不低于30%,甚至可以达到100%。目前国内的技术水平已经完全可以达到这样的能力。所以,鼓励行业内充分利用现有技术提高再生骨料的取代比例,将有利于促进再生产品技术进步,可以逐步提高建筑废物的再生利用率,有利于节能减排。另一方面,如果再生骨料掺量过低,配制技术实际上就与普通混凝土毫无区别,不能体现再生骨料混凝土的技术内涵。
根据研究结果,用于混凝土的再生骨料性能指标要求与天然骨料产品标准要求总体一致,对混凝土力学性能影响不大,且钢管混凝土构件中的混凝土处于约束条件下,因此可采用再生骨料混凝土,其相关技术要求按照现行行业标准《再生骨料应用技术规程》JGJ/T 240-2011执行。
再生混凝土的拌合物性能试验方法可按现行国家标准《普通混凝土拌合物性能试验方法标准》GB 50080执行;力学性能试验方法及试件尺寸换算系数应按现行国家标准《普通混凝土力学性能试验方法标准》GB 50081执行;质量控制应符合现行国家标准《混凝土质量控制标准》GB 50164的规定;强度检验评定应符合现行国家标准《混凝土强度检验评定标准》GB 50107的规定。
本条关于再生混凝土弹性模量的取值,主要是通过试验获得当缺乏试验条件时可以依照本规程中的表3.2.3取用,此表中的弹性模量主要根据肖建庄《再生混凝土》中国建筑工业出版社(2008)一书得到。
3.3 连接材料
3.3.1~3.3.4 条文中的规定是根据现行国家标准《钢结构设计规范》GB 50017和《钢结构工程施工质量验收规范》GB 50205的有关规定确定的。10.9级螺栓热镀锌后,使用中常出现裂缝,故不宜采用。
4 基本设计规定
4.1 一般规定
4.1.2 空心构件的钢管外径(圆钢管的直径,多边形和正方形时,是外接圆的直径)不小于168mm,和变截面杆小端外径不小于130mm的规定,是采用离心法生产管柱时离心机的要求,也可减小冷弯成型时冷作硬化效应。管壁3mm是保证焊接质量的要求。这是对空心钢管混凝土构件的要求。对于实心钢管混凝土构件,钢管的最小外径和壁厚的要求,是考虑焊接质量和管内混凝土的浇灌质量。
4.1.3 圆形和正十六边形的D/t的规定是保证管壁局部稳定的要求,是基于空钢管轴心受压时分析的结果;对于管内存在混凝土的情况是偏于安全的。正八边形和正方形的B/t的规定是参考澳大利亚标准AS 4100的规定制定的,是针对四边形钢管混凝土轴压构件的研究结果。
当D/t和B/t符合本规程第4.1.3条要求时,管壁局部稳定能保证。以上对D/t和B/t的要求同时适用于实心和空心构件的钢管,对实心构件是偏于安全的。
4.1.4 构件的容许长细比的规定是参考房屋设计和送变电塔架设计的规定采用的。
4.1.6 所列实心和空心钢管混凝土构件采用的含钢率和混凝土标号,均为常用情况。一般情况下,采用的混凝土标号应和采用的钢材强度匹配。
4.1.7 空心钢管混凝土构件采用的空心率过小时,离心法生产时,由于离心力不大,使混凝土紧贴管壁的质量较难保证。因此,根据生产经验,限定空心率不得小于0.25。
空心率过大时,管内混凝土过薄,难以保证钢管的局部稳定,因而限定空心率不得大于0.75。
4.1.8 由于钢管混凝土柱轴压承载力高,因此单肢构件适合用做承受轴压力为主的构件。
4.1.9 本条规定了钢管混凝土构件的基本构造要求与长细比的合适范围,针对不同截面的实心与空心钢管混凝土构件,根据“统一理论”,引入套箍系数设计指标θ0sc。θ0sc过小,钢管对混凝土的约束作用不够,影响构件延性,若过大,则钢管壁可能较厚,不经济。
4 基本设计规定
4.1 一般规定
4.1.2 空心构件的钢管外径(圆钢管的直径,多边形和正方形时,是外接圆的直径)不小于168mm,和变截面杆小端外径不小于130mm的规定,是采用离心法生产管柱时离心机的要求,也可减小冷弯成型时冷作硬化效应。管壁3mm是保证焊接质量的要求。这是对空心钢管混凝土构件的要求。对于实心钢管混凝土构件,钢管的最小外径和壁厚的要求,是考虑焊接质量和管内混凝土的浇灌质量。
4.1.3 圆形和正十六边形的D/t的规定是保证管壁局部稳定的要求,是基于空钢管轴心受压时分析的结果;对于管内存在混凝土的情况是偏于安全的。正八边形和正方形的B/t的规定是参考澳大利亚标准AS 4100的规定制定的,是针对四边形钢管混凝土轴压构件的研究结果。
当D/t和B/t符合本规程第4.1.3条要求时,管壁局部稳定能保证。以上对D/t和B/t的要求同时适用于实心和空心构件的钢管,对实心构件是偏于安全的。
4.1.4 构件的容许长细比的规定是参考房屋设计和送变电塔架设计的规定采用的。
4.1.6 所列实心和空心钢管混凝土构件采用的含钢率和混凝土标号,均为常用情况。一般情况下,采用的混凝土标号应和采用的钢材强度匹配。
4.1.7 空心钢管混凝土构件采用的空心率过小时,离心法生产时,由于离心力不大,使混凝土紧贴管壁的质量较难保证。因此,根据生产经验,限定空心率不得小于0.25。
空心率过大时,管内混凝土过薄,难以保证钢管的局部稳定,因而限定空心率不得大于0.75。
4.1.8 由于钢管混凝土柱轴压承载力高,因此单肢构件适合用做承受轴压力为主的构件。
4.1.9 本条规定了钢管混凝土构件的基本构造要求与长细比的合适范围,针对不同截面的实心与空心钢管混凝土构件,根据“统一理论”,引入套箍系数设计指标θ0sc。θ0sc过小,钢管对混凝土的约束作用不够,影响构件延性,若过大,则钢管壁可能较厚,不经济。
4.2 结构类型与布置
4.2.1 条文明确了本规程实、空心钢管混凝土结构所适用的8种结构类型。
4.2.2 实心与空心钢管混凝土结构也应符合结构概念设计原则,宜采用简单规则结构并具有良好的抗扭刚度和多道防线,具体要求及相关结构材料与抗震设防的标准可按本条所列国家现行标准的有关规定执行,本规程不再重述。
4.2.3 实心与空心钢管混凝土框架梁采用钢梁,则梁柱节点简单可靠,也有利于现场整体吊拼装和机械化施工,且空心钢管混凝土构件为预制构件。因此,本条优先推荐框架梁采用钢梁或钢-混凝土组合梁,楼板采用现浇钢筋混凝土组合楼板,对抗震有利。
4.2.4 采用本规程最大适用高度时,除部分框支剪力墙结构外的其它结构类型,可以从下到上全部采用钢管混凝土柱。也可以底部不低于1/2结构高度范围,采用钢管混凝土柱,上部则可采用钢筋混凝土柱或钢柱。
4.2.5 柱脚同基础相连处受力复杂,为保证安全可靠采用此措施。
4.3 房屋适用高度和高宽比
4.3.1 空心钢管混凝土构件轴心受压时的破坏均为脆性破坏,N-ε全过程曲线中,塑性段随空心率增大及套箍系数减小而缩短,延性较实心钢管混凝土差,但优于钢筋混凝土构件。考虑该构件为工厂预制,施工需现场吊拼装以及工业民用建筑应用经验不多等因素,本规程最大适用高度暂控制在A级钢筋混凝土高层建筑以下水平,相应最大空心钢管混凝土构件的截面尺寸可控制在1m以下(直径或边长),以满足现有离心生产能力及现场吊拼装施工能力的要求。虽然理论上可以更高些,但就目前现实情况看,超高层建筑结构还是采用现浇实心钢管混凝土有明显优势。此外,基于空心钢管混凝土性能,本规程暂不推荐空心钢管混凝土构件应用于高层结构框支柱。
实心钢管混凝土结构抗震性能优越,其最大适用高度是按现行行业标准《高层建筑混凝土结构技术规程》JGJ 3中的钢-混凝土混合结构最大适用高度及国内外已建成同类结构案例确定的。
4.3.2 高宽比是对结构刚度、整体稳定,承载能力和经济合理性的宏观控制,对钢管混凝土结构,这一限制是必要的,也是比较经济合理的。高宽比的限制可按照《高层建筑混凝土结构技术规程》JGJ 3确定。
4.4 结构设计原则与抗震等级
4.4.1 本条规定了钢管混凝土结构及相关混合结构弹性内力和位移计算、荷载效应组合、抗风抗震验算、抗震措施及性能化设计应遵循的相关国家标准,其中钢管混凝土构件部分尚应满足本规程有关抗震措施要求。对主要抗侧力构件为钢结构的建筑,宜采用现行行业标准《高层建筑民用钢结构技术规程》JGJ 99进行计算分析与抗风抗震验算,对主要抗侧力构件为钢筋混凝土结构的建筑,宜采用现行行业标准《高层建筑混凝土结构技术规程》JGJ 3进行设计,有充分依据时,允许对结构侧移限值做少许变动。
4.4.2 实心与空心钢管混凝土结构抗震等级主要参考协会标准《空心钢管混凝土结构技术规程》CECS 254:2009、《高层建筑组合结构框架梁柱节点分析与设计》(人民交通出版社。钟善桐、白国良主编),现行国家标准《建筑抗震设计规范》GB 50011、《高层建筑混凝土结构技术规程》JGJ 3抗震等级划分中的钢管混凝土抗震等级划分综合考虑制定。基于已对修订的高钢规引入钢结构抗震等级,本条文增加了框架中的钢梁、钢支撑、钢节点等钢构件抗震等级按框架抗震等级降低一级的确定,但不低于四级。
4.4.3 钢管混凝土构件套箍效应随截面形式由圆形至多边形到正方形逐渐减小。反映在套箍系数变化上,由圆形至方形约下降25%~30%,根据“统一理论”,本规程引入构件套箍系数设计值θss,要求抗震设计时θss>1。同时为体现不同抗震等级的钢管混凝土构件的不同延性要求,针对最常用的圆形和方形钢管混凝土构件,本条文首次提出了构件长径比与轴压比的相关限值规定。
关于实心圆形钢管混凝土构件用于地震区时,可不限制轴压比的规定,是根据哈尔滨工业大学1988年试验结果证明的。实心钢管混凝土构件的延性主要取决于构件长细比,实验表明,当L/D=4.7~6.5时,圆钢管混凝土构件在反复荷载作用下,P-△骨架曲线无下降段,位移延性无穷大,当L/D=8.2~11时,基本可满足位移延性系数μ=5,当长细比过大,为确保构件延性的要求,则应限制轴压比。当n=1,而延性系数μ=5时,不限制轴压
比时的长细比限值可放宽,如表3所列。可供设计时参考。
表3 n=1和μ=5时长细比的限值(含钢率 a=0.04~0.2)

由本规程表4.4.3可见,当长径比L/D<6.0时,轴压比可达1.0,说明房屋建筑抗震时,绝大部分构件可不限制轴压比,当长径比L/D=6.0~9.0时,仅特一级(框支柱)和一、二级重要构件可适当限制轴压比;当L/D>9.0时,则应依据构件抗震等级及截面形状适当限制轴压比。
4.4.4 基于空心钢管混凝土构件轴心受压时的破坏形态,抗震设计时,限制空心钢管混凝土柱的轴压比也是为了保证柱的延性要求之一,对不同结构体系中的柱提出不同的轴压比限值。轴压比限值是依据理论分析和试验研究,按照如下方法确定的(有关研究参见查晓雄、李卫秋、余敏《空心普通和再生钢管混凝土柱抗震性能研究》,2012年6月):
1 空心圆钢管混凝土柱的位移延性系数定义为:

式中:△u——构件的极限位移;
△y——构件的屈服位移。
圆钢管混凝土柱P-△骨架曲线没有明显的屈服点,屈服位移△y是通过几何作图法确定的,极限位移△u取承载力下降到峰值承载力的85%对应的位移△0.85。
采用有限元软件对空心钢管混凝土压弯构件的荷载-位移骨架曲线进行了数值计算,分析了各参数对构件骨架曲线及延性的影响规律。
从压弯构件的受力特性和破坏过程出发,运用能量法和极限平衡理论等方法对空心钢管混凝土柱的抗震性能进行了理论研究,提出了构件骨架曲线理论模型和位移延性系数简化计算公式。

式中:L——为构件长度;
Kc——为弹性段刚度;
N——为柱顶施加轴力。
经过回归得:

当n≤0.2或φ≤0.1,建议取ad=0。
试验验证:
哈工大深圳研究生院对空心钢管混凝土柱延性性能进行试验研究,构件的骨架曲线如图1所示,表4为试验得出的位移延性系数与公式计算值比较。
图1 构件试验骨架曲线
表4 计算值与试验值比较

有限元验证:
表5 位移延性系数验证

从表5位移延性系数的大量对比结果可以看出,虽然推导的理论公式计算值与有限元实际值存在一定的误差,但是总体上来说误差比较小,在工程允许范围之内。设计中可以运用该简化理论公式来计算空心钢管混凝土压弯构件的位移延性系数。
把公式中的理论轴压比 n 换成设计轴压比n0,即乘以f ysc/fsc。
在某些情况下需要通过限定水平位移来保证空心钢管混凝土柱在地震作用下的延性。
2 空心钢管再生混凝土
通过有限元软件比较了不同参数下空心钢管再生混凝土压弯构件与相应普通混凝土构件荷载一位移骨架曲线的特点。可发现空心钢管再生混凝土压弯构件的骨架曲线形状与普通混凝土构件相似,各参数对骨架曲线的影响规律同相应空心钢管普通混凝土构件也类似。
在空心钢管普通混凝土压弯构件骨架曲线理论模型的基础上,提出了空心钢管再生混凝土压弯构件骨架曲线理论模型和位移延性系数简化计算公式。

式中:Kc——为相应普通混凝土试件骨架曲线弹性段刚度;
Kcr——为再生混凝土试件骨架曲线弹性段刚度;
L——为构件长度;
N——为柱顶施加轴力。
经过回归得:

当n≤0.2或φ≤0.1,建议取ad=0。
试验验证:
哈工大深圳研究生院对空心钢管再生混凝土柱延性性能进行试验研究,构件的骨架曲线如图2所示,表5为试验得出的位移延性系数与公式计算值比较。
图2 空心钢管再生混凝土试件骨架曲线
表6 位移延性系数计算值与实验值对比

有限元验证:
表7 位移延性系数验证

从表7位移延性系数的大量对比结果可以看出,公式理论计算值与有限元真实值吻合良好,验证了该公式的正确性,表明可以运用该理论公式来计算空心钢管再生混凝土压弯构件的位移延性系数。
把公式中的理论轴压比 n 换成设计轴压比n0,即乘以f ysc/fsc。
在某些情况下需要通过限定水平位移来保证空心钢管混凝土柱在地震作用下的延性。
4.4.5 鉴于空心钢管混凝土构件轴心受压时的脆性破坏形态,该种构件应用于高层建筑结构时,规程应采取必要的保证构件延性及抗震性能的措施。大量实验研究表明:空心率是影响构件延性的重要指标,空心率越大、延性就越差,要求空心率不大于本规程表4.4.5限值,就是为了保证构件的脆性破坏缓一些,相应也就具有构件不同抗震等级体现的不同延性要求。
4.4.6 由于钢管混凝土柱的抗震性能优于钢筋混凝土柱,因此,当框支柱采用钢管混凝土柱时,转换层位置可提高。但鉴于高层建筑高位转换层(即转换层超过5层)所带来的诸多抗震附加不利因素,只宜适当提高。因此,本条文规定7、8度时转换层位置均只比《高层建筑混凝土结构技术规程》JGJ 3中相关规定增加一层。
4.4.7 钢管混凝土框架一剪力墙(筒)结构,当墙体开裂时,地震作用在抗震墙和框架之间会实行再分配,框架地震力会增加。因而需对钢管混凝土框架承受的地震力作更严格的要求。这一条文体现了二道设防的原则,也体现现行行业标准《高层建筑混凝土结构技术规程》JGJ 3关于框架楼层计算地震剪力最大值小于结构底部总剪力10%时,框架各层地震剪力应增大到15%等相关合理规定。
4.4.8 本条文体现了现行行业标准《高层建筑混凝土结构技术规程》JGJ 3中关于框架-剪力墙结构的分类与设计要求规定。
4.4.9 在多遇地震下,钢结构阻尼比0.02,钢筋混凝土阻尼比0.05,钢管混凝土结构一般取0.035,表4.4.9中的结构阻尼比还反映了随结构高度增大,阻尼比减少的规律,更为合理。
4.4.10 本条采用现行国家标准《建筑抗震设计规范》GB 50011中钢筋混凝土框架角柱的相应规定。
4.4.11 外围框架采用梁柱刚接,能提高外围框架的刚度及抵抗水平荷载的能力,也体现二道防线要求。
4.4.12 鉴于日本阪神地震关于非埋入式柱脚、特别是在地面以上的非埋入式柱脚在地震中容易破坏的经验教训,本规程规定,实心与空心钢管混凝土柱宜采用埋入式柱脚,无地下室时应采用埋入式柱脚。在刚度较大的地下室范围内,当有可靠措施时,也可采用其它型式柱脚。
4.4.13 本规程弹性层间位移与层高之比△u/h控制指标是参照比较钢结构和钢筋混凝土结构层间位移角限值后综合确定的,同时考虑△u/h限值随高度增大可适当放宽的规律,总体上比钢结构严些,比混凝土结构宽些。
4.4.14 弹塑性层间位移角限值与现行国家标准《建筑抗震设计规范》GB 50011相同。
4.4.15 承载力验算是按照构件进行的,本规程对钢管混凝土构件承载力验算及构造要求都有具体规定。构件承载力调整系数γRE主要按照现行国家标准《建筑抗震设计规范》GB 50011采用,与原《建筑抗震设计规范》GB 50011-2001有所变化。
4.4.16 超高层建筑在风荷载作用下,将产生振动,过大的振动加速度将使高楼内居住的人们感觉不舒适,甚至不能忍受,本条文即为舒适度要求,按照现行行业标准《高层建筑混凝土结构技术规程》JGJ 3中的规定。
5 钢管混凝土承重构件设计和刚度计算
5.1 单肢钢管混凝土构件在单一受力下的承载力和刚度计算
5.1.1 钢管混凝土短柱的轴向受压强度承载力设计值应符合下列规定:
本规程中钢管混凝土构件承载力的计算采用了“钢管混凝土统一理论”中的统一设计公式。统一理论的含意简介如下(参见钟善桐著《钢管混凝土统一理论》,清华大学出版社,北京,2006):
把钢管混凝土看作是一种组合材料,研究它的组合工作性能。它的工作性能具有统一性、连续性和相关性。
“统一性”首先反映在钢材和混凝土两种材料的统一。把钢管和混凝土视为一种组合材料来看待,用组合性能指标来确定其承载力。
其次是不同截面构件的承载力的计算是统一的。不论是实心或空心钢管混凝土构件,也无论是圆形、多边形还是正方形截面,只要是对称截面,设计的公式都是统一的。
“连续性”反映在钢管混凝土构件的性能变化是随着钢材和混凝土的物理参数,和构件的几何参数的变化而变化的,变化是连续的。
“相关性”反映在钢管混凝土构件在各种荷载作用下,产生的应力之间存在着相关性。
1 关于轴压强度设计值
1993年原哈尔滨建筑工程学院(现哈尔滨工业大学土木工程学院)首次采用有限元法导得实心钢管混凝土轴压构件轴向压力与纵向应变的全过程曲线。确定曲线由弹塑性阶段终了进入强化阶段时为构件的受压强度标准值,无强化阶段而极值破坏时,则以极值点的平均应力为构件的受压强度标准值(f yss)。经分析,对各种钢材和混凝土,以及不同含钢率,如有弹塑性阶段和强化阶段时,该点均在纵向压应变约为3000με处。如无强化阶段而为极值破坏时,则在3000με前破坏。由此导得实心钢管混凝土轴心受压时的受压强度设计值fss。空心钢管混凝土轴心受压时,由于存在空心,都在3000με前破坏。见图3和图4。
图3 B点和B点前极值点AB曲线的回归关系
图4 空心钢管混凝土轴压脆性破坏时的压力和应变曲线
2004年哈尔滨工业大学和杭州中电电力研究所(包括山东、大连和徐州杆塔有限公司)合作完成了大量空心钢管混凝土轴压构件的试验,包括圆形,正十六边形,正八边形和正方形。证明了当空心率较大时,应力应变全过程曲线在应变小于3000με前出现峰值而破坏。图4所示试件6A-1和6A-2的套箍系数θh=1.2464,空心率为0.511和0.510及6B-1和6B-2的套箍系数为1.869,空心率为0.387和0.386。它们的套箍系数虽都大于1,但由于存在空心,因而表现为脆性。
由图3,将B点的轴压强度设计值,和B点前破坏时的极值点,进行回归,得实心或空心钢管混凝土轴压时的受压强度设计值:

对于实心截面,公式中的系数B和C,对不同截面形状取不同值,列入规程表5.1.1-1。
对于空心截面,表5.1.1-1中的fCK都应乘以1.1。这是由于管内混凝土系离心法浇灌,混凝土强度提高10%。k1是由于空心构件中的混凝土较少,钢管对混凝土的套箍作用效应就较小,因而采用一个套箍效应折减系数;经分析并经实验验证,对圆形和正十六边形取0.6,对正八边形取0.4,正方形取0.3。计算实心构件时,套箍系数中的含钢率用实心构件的,计算空心构件时,用空心的。(相关研究参见钟善桐、查晓雄《空心钢管混凝土结构技术规程CECS 254:2009简介》,2010)。
最终为了表述简单,对于空心构件,将k1的取值分别乘到B,C中,统一采用B,C来考虑形状和空心的影响。同时将B,C中的材料标准值用设计值代替,其中钢材的材料分项系数取四种钢材的平均值为1.105,混凝土材料分项系数按1.4取值(标准值等于设计值乘上分项系数),见本规程表5.1.1-1,对应公式(5.1.1-1)。
统一公式同时适用于实心与空心钢管混凝土轴压构件,也适用于不同截面形式,如圆形和正十六边形、正八边形、正方形和矩形截面。规范附录B表B1~B6就是按上述公式计算得到的实心和空心三种截面的受压强度设计值。这三种截面的受压强度设计值都是各自第一、二、三、四组钢材时强度设计值的平均值,误差都在±5%以内。
第一组钢材是指钢材厚度 t≤16mm;第二组钢材 t 在16~40mm(Q235),和16mm~35mm(Q345,Q390,Q420)范围;第三组钢材 t 在40mm~60mm(Q235)和35mm~50mm(Q345,Q390,Q420)范围;第四组钢材 t 在60mm~100mm(Q235)和50mm~100mm(Q345,Q390,Q420)范围。
管中混凝土可用普通混凝土、海砂混凝土或再生混凝土。
钢管海砂混凝土只应用于实心钢管混凝土构件,且两端必须密封,防止雨水浸入。海砂混凝土用于钢筋混凝土构件时,海砂中的盐对钢筋起锈蚀作用,体积增大,挤压混凝土,使混凝土保护层脱落。也降低了构件的承载力和防火能力。
钢管混凝土构件中的核心混凝土和钢筋混凝土的工作环境不同,主要在钢管混凝土封闭的环境中缺少使钢材发生腐蚀的氧气和水分;因此,在钢管内海砂对钢管内壁的腐蚀很小。研究证明:海砂对钢管内壁的少量锈蚀,体积膨胀,但很小,能增加对混凝土的紧箍效应。还是有利的。但应对构件密封,防止雨水和空气侵入,造成钢管严重锈蚀现象的发生。(相关研究参见哈工大深圳研究生院《海砂钢管混凝土柱耐腐蚀性能的试验和理论研究》,2012年6月)。
对钢管再生混凝土柱分别研究了空心率为零(实心)以及空心率为37%的空心钢管再生混凝土短柱的轴心受压承载力(相关研究参见哈工大深圳研究生院《钢管再生混凝土柱承载力及抗火性能研究》,2012年6月),当再生混凝土和普通混凝土的强度等级都是C40时,它们的荷载-位移曲线如下:
从图5(a)来看,实心钢管混凝土和实心钢管再生混凝土的荷载-位移曲线比较吻合。从图5(b)来看,当空心率为37%时,空心钢管混凝土短柱和空心钢管再生混凝土短柱的极限承载力基本相同。这说明,运用实心钢管混凝土短柱受压极限承载力的公式来计算空心钢管再生混凝土短柱受压极限承载力是可行的,当再生混凝土强度等级与普通混凝土相同时,它们应用于空心钢管混凝土中的强度也基本一样,因此钢管再生混凝土单肢短柱承载力可以采用钢管混凝土短柱的计算公式。
图5 不同空心率的空心钢管再生混凝土和钢管
普通混凝土轴压破坏时的荷载位移曲线
2 关于设计可靠度
钢管混凝土构件需要进行可靠度分析,此次规程暂未列出,哈尔滨工业大学提出了《钢管混凝土组合可靠度指标分析法》,在此予以介绍,可供相关工程技术人员参考。
此法是按照构件中钢管和混凝土分别承担承载力的比例,求得构件的组合可靠度。此法忽略了钢管和混凝土之间的套箍效应,属于近似法。
设构件的含钢率为 a,则钢管承担的部分内力为 afy,而混凝土承担的部分内力应为(1-a)fck。
由此得钢管承担的部分内力的比例为:

混凝土承担的部分内力的比例为:

钢管混凝土构件的组合可靠度指标应为:

分析和试验结果:只有实心圆截面和正十六边形钢管混凝土轴压时具有很大的塑性,其他截面如实心正方形和矩形截面,以及各种空心截面轴压时都表现为脆性。
对实心圆截面和正十六边形钢管混凝土的组合可靠度指标均大于3.2,应按钢结构要求,取强度设计值乘以可靠度修正系数k2,可提高组合轴压强度设计值:

其他截面包括空心钢管混凝土构件的组合可靠度指标虽大于3.2,但却小于3.7。试验证明,它们大都属于脆性破坏,其组合可靠度指标在《建筑结构可靠度设计统一标准》GB 50068中并无规定。现按混凝土的要求,取βsc小于3.7的比值将其强度设计值乘以可靠度修正系数k2,以降低组合轴压强度设计值:

研究和试验证明,实心圆形钢管混凝土构件,在100%设计荷载作用下,P-△滞回曲线无下降段,具有很好的延性。因而可以不限制构件的轴压比;令设计轴压比等于1,得到构件的长细比最大值,即长细比限值,如本规程表4.4.4所列。但当构件的长细比超过限值时,仍应按规定限制轴压比。其他截面构件在循环荷载作用下,均分别表现为不同程度的脆性,因而用于地震区时,都应按规定限制轴压比。
3 关于管内混凝土的徐变和收缩
1) 利用有限元法算出实心钢管混凝土构件中核心混凝土的自由徐变量、构件徐变量和核心混凝土的卸载徐变量。该有限元程序中相关的徐变参数设置是由已有混凝土试验数据得到,并经钢管混凝土构件受压试验验证是合理的。得到徐变量后,从徐变发生前后钢与混凝土切线模量的变化,引起的折算模量变化来分析计算构件的稳定承载能力的折减,得到徐变对实心钢管混凝土受压构件稳定承载力的影响,及钢材型号、混凝土强度级
别、恒载占设计荷载的百分比和长细比等因素的关系,计算出徐变后构件稳定承载力的影响系数kc。空心构件由于管内混凝土较少,因而混凝土徐变对受压构件稳定承载力的影响就小些,且还和空心率有关(相关研究参见王洪欣,查晓雄《徐变对空心钢管混凝土轴压稳定承载力的影响》,2009)。
分析中,考虑了混凝土强度和模量随龄期的增长而提高,及混凝土中加5%膨胀剂的影响,和空心构件的混凝土在蒸汽养护条件下强度和模量提高等因素,得到徐变影响系数。
此结果是水灰比为0.3时的情况,其它情况也可借鉴。
管内混凝土的徐变主要发生在1~3个月内,超过6个月变化很小,并在1年左右几乎完全停止。在外荷载作用下,由于管内混凝土发生徐变变形,产生内力重分布现象,导致钢管和管中混凝土应力的改变,二者的模量发生变化,因而使构件的稳定承载力发生变化,稳定承载力下降。
对于偏压构件,只在小偏心率(e/r0≤0.3)时,徐变对构件稳定承载力才有影响。此处 e 和r0分别是荷载的偏心和管柱的半径。
由此,得到Q235、Q345、Q390和Q420四种钢材时的混凝土徐变影响系数,四种钢材的影响系数kc很接近,取平均值;结果见本规程表5.1.1-2。此徐变影响系数是混凝土采用5%膨胀剂的结果。
2) 钢管初应力的影响
在高层建筑和单层厂房中,一般可先安装空钢管,然后一次性向管内浇灌混凝土。这时,钢管中存在初应力。将影响柱的稳定承载力。为了控制此影响在5%以内,经分析,应控制初应力不超过钢材受压强度设计值的60%。
对于连续施工,将其转换为多步初应力问题,通过弹性稳定理论推导可得考虑混凝土硬化的多步初应力问题的跨中绕度计算公式为:

式中:δi、δn——分别为第 i 级和 n 级加载时的跨中绕度;
δ0——钢管的初始绕度;
Ni、Nn——分别为第 i 级和 n 级加载时的荷载增量;
Ncr,i、Ncr,n——分别为第 i 级和 n 级加载时的构件欧拉临界荷载;
ki、kn——分别为第 i 级和 n 级加载时构件绕度相对于单次加载的放大系数。
当混凝土龄期超过9d时,混凝土的弹性模量变化较小,则9d龄期后构件的欧拉临界荷载Ncr,i和Ncr,i+1相差不大。因此龄期9d后,跨中绕度的放大系数kn将保持恒定,也即龄期超过9d后,后续分步加载对构件的等效初始偏心影响较小。同时根据稳定系数的公式可知稳定系数将不再继续降低。同时根据极限理论和实验知分步加载对构件的强度承载力影响很小。因此,只用考虑混凝土龄期在9d前的施工过程对构件承载力的降低影响。偏于安全的认为混凝土9d龄期前,钢管承担所有的荷载,将连续施工的龄期问题转换为初应力问题,即要求此时的荷载不超过空钢管承载力的60%。
3) 管内混凝土的收缩问题
为了了解管内混凝土收缩对钢管混凝土构件工作性能的影响,哈工大于1978作了两个实心圆钢管混凝土管内混凝土的收缩试验,试件为φ198×3,Q235钢材,C30混凝土。No.1试件进行了440d的观测,No.2试件进行了754d的观测,分别测定混凝土中心和混凝土表皮,以及钢管外表的纵向应变。随后,又与中国建筑第三工程局科研所合作,于1985~1086年间进行了一个φ723×10,L=1600mm的管内混凝土收缩的测定。采用钢材Q235,混
凝土为工程中常用的,其配比为:0.48:1:2.18:3.88,掺FDN减水剂0.3%。浇灌混凝土后,立即盖上封顶板,密闭养生。72小时后,开始测定管内混凝土的径向应变,连续观测了一年。
根据上列试验结果,测得管内混凝土的收缩由于受到钢管的阻碍,比自由收缩小很多。其纵向收缩率约为250×10-6,径向收缩率约为89.4×10-6。
按此收缩率计算。纵向收缩很大,设一次浇灌混凝土高度为10m时,混凝土的纵向收缩为2.5mm。为了消除纵向收缩的影响,应在浇灌混凝土后任其收缩,然后加一些同标号的水泥砂浆抹平即可。
按照混凝土的径向收缩率计算,混凝土可能产生的径向应力为σ=89.4×10-5Ec,此应力超过了混凝土的受拉强度,如下表8所列:
表8 混凝土参数

表中:Ec是混凝土的弹性模量,σr是由于混凝土径向收缩受钢管的约束可能产生的径向拉应力,ft是混凝土的受拉强度。由表列值可见,混凝土径向收缩可能产生的拉应力超过混凝土的受拉强度,也超过混凝土与钢管之间的粘结力。因此,混凝土必将脱开钢管,在钢管与混凝土之间产生缝隙。此缝隙的大小应为:
△=89.4×10-6r,r是核心混凝土的半径。当直径为1m时,△=0.0447mm,为2m时,△=0.09mm。
这样小的空隙,对管柱截面的面积,以及截面的受压和受弯刚度是没有影响的。因为钢管和混凝土是同心圆,因而这样小的缝隙并不减小截面面积和截面惯性矩。
因此,可以认为产生的缝隙不会影响混凝土与钢管的共同工作。而且,通常在混凝土中掺一些膨胀剂(≯5%),可消除或减小这些缝隙。
《钢结构》2007年1期纪洪广,张贝贝一文“有脱空缺陷的钢管混凝土短柱承载力分析”中,得到的结果为:环向产生5mm的空隙时,可不考虑承载力的降低,也证明了上面的分析。
即使存在了这种缝隙,随着工程的进展,垂直荷载的不断增加,混凝土的径向扩大,此缝隙也就自然消失了。
空心钢管混凝土构件是把空钢管放在高速旋转的离心机上,在钢管中放入一定量的混凝土,在高速旋转的离心力的作用下,使混凝土密贴钢管内壁;而且,混凝土中部又为空心。因此,混凝土的收缩不会脱离钢管。故可不考虑混凝土的收缩。
抗震调正系数γRE取自现行行业标准《高层民用建筑钢结构技术规程》JGJ 99。
5.1.2 钢管混凝土构件的受剪、受扭承载力设计值计算应符合下列规定:
1986年采用有限元法导得实心圆钢管混凝土构件受纯扭作用时的全过程曲线(图6),并经实验验证。受剪强度,是取对应于最大剪应变为3500με处的平均剪应力,它直接和构件的轴压强度有关。对空心截面,同样采用这种关系。
在钢管混凝土构件的受扭过程中,其截面应力是最外圈应力最大,然后向中心逐步发展塑性,所以钢管对钢管混凝土的受扭作用是主要的。对于混凝土来讲,对钢管混凝土的受扭起作用的是混凝土的受拉强度,而混凝土的受拉强度是很小的,即对钢管混凝土的受扭贡献很小。但是在钢管混凝土中,由于混凝土对钢管起到了很好的支撑作用,使得外钢管能够很好的发展塑性,现假设外钢管能够完全达到屈服强度,而不考虑混凝土的受扭作用,则可以得到如下形式(图7)(相关研究参见哈工大深圳研究生院《空、实心钢管混凝土构件抗扭抗剪性能的研究》,2012年6月):

式中:ρ——钢管受扭时的有效力臂,应该为钢管中心环线到圆心的距离,即
,但考虑到钢管通常较薄,可近似取为 r,其带来的误差很小。
图6 钢管混凝土构件受纯扭时最大剪应力与剪应变全过程曲线
图7 纯扭时计算模型
公式(5.1.2-1)是假设外钢管全部达到屈服,但在实际受扭极限承载力分析中,我们只考虑了部分发展塑性,所以该式所得值将偏大,偏于不安全,需考虑折减,通过与相关文献中的试验数据对比,可以取折减系数为0.71,则原公式变为:

根据“统一理论”,把钢管混凝土当作统一材料,则其极限扭矩与扭剪应力有如下关系:

式中:fsv——钢管混凝土的极限剪切强度设计值;
WT——截面受扭抵受矩,
。
将式(12)与式(13)相等,则得到钢管混凝土的等效极限剪切强度为:

从式(14)中看出,极限剪切强度fsv只与钢材强度以及含钢率有关,而与混凝土等级无关。钢材的材料分项系数取四种钢材的平均值为1.105,得本规程公式(5.1.2-4)。
极限受剪强度,乘以相应的截面面积便可得到实心截面的受剪承载力公式,即:

对于空心钢管混凝土的受剪承载力,因为受横向荷载产生的剪应力,在截面上的剪应力分布是外边缘为零,而中性轴处最大。因而计算受剪承载力时,空心率对其受剪承载力影响较大,取折减系数为0.736Ψ2-1.094Ψ+1。
式中:μ——钢管混凝土受剪强度折减系数;由于等效受剪极限强度是通过纯扭的极限平衡理论得到的,而钢管混凝土在受纯剪荷载时,其截面剪应力分布和纯扭作用下的应力分布不同。因为钢管混凝土受纯剪作用时,最大剪应力在截面中轴上,往两边逐渐减小,故要考虑折减,通过与参考文献中公式计算结果对比,可以取μ=0.71。
对于空心钢管混凝土的受扭承载力,因核心混凝土对钢管混凝土的受扭承载力贡献不大,且空心率对其受扭承载力影响不大,所以空心钢管混凝土的受扭承载力在相应实心钢管混凝土的受扭承载力上进行折减,折减系数取为常数0.9。
5.1.3 当计算钢管混凝土构件在复杂受力状态下的欧拉临界荷载时,钢管混凝土构件的弹性刚度由实心钢管混凝土轴压构件短试件(L/D=3.5~4.0)的平均压应力和纵向压应变的全过程曲线,可得受压的弹性模量,它和受压强度标准值,及钢材的弹性模量有关。对空心构件也相同。可按下列公式计算:

式中:f psc——截面的比例极限;
εpsc——截面的比例应变;
Es——钢材的弹性模量,Es=206×103N/mm2;
fy——钢材的屈服点应力。
由上列公式可见,弹性模量Esc和轴压强度标准值f ysc成正比,因而上式可写成下列形式:

由于强度标准值和强度设计值的比值都接近1.3,为了设计方便,取f ysc=1.3fsc,可得:

由轴压刚度Bsc=AscEsc可得出:

由上列推导可见,实心和空心构件的系数kE相同,且只和钢材的屈服点fy及弹性模量Es有关。见本规程表5.1.3。
受弯弹性模量推导如下:
轴压刚度:EscAsc=EsAs+EcAc,
受弯刚度:EscmIsc=EsIs+EcIc
二式相比,

因为 Escm和 Esc有关,而 Esc又和f ysc有关,故不同截面的受弯弹性模量也不同。
1 实心截面:

2 空心截面:

当受弯构件截面出现受拉区时,由于受拉区的混凝土开裂,截面的刚度减小,因此截面的惯性矩减小,因此,受弯刚度为EsmIoss和EhmIoh。
5.1.4 当计算钢管混凝土构件受剪受扭变形时,钢管混凝土构件的剪变刚度和受扭刚度。
由实心圆钢管混凝土构件受扭时得到的平均剪应力与最大剪应变的全过程曲线,可得弹性剪变模量,参见图6。对于空心构件,计算表明钢管混凝土构件抗扭主要由钢管承担,故空心构件剪变刚度和受扭刚度计算中都是采用相同情况下实心钢管混凝土截面的剪变模量(相关研究参见查晓雄、谢先义《空、实心钢管混凝土构件抗扭抗剪性能的研究》,2012)。
1 实心截面:

式中:Gss——等效剪切模量;
G'ss——剪切模量,
a——含钢率。
2 空心截面:

式中:Ψ——空心率。
按本式算得的Gss值,因各种截面第一、第二和第三组钢材时的受剪模量相差不大,取其平均值,如本规程表5.1.4所列,平均误差都在3%以内。
5.1.5 钢管混凝土构件受拉力作用时,管内混凝土将开裂,不承受拉力作用,只有钢管承担全部拉力。不过,钢管受拉力作用而伸长时,径向将收缩;但却受到管内混凝土的阻碍,而成为纵向受拉而环向也受拉的双向拉应力状态,其抗拉强度将提高。提高值和所受来自混凝土的阻力大小有关。对于实心截面,钢管的抗拉强度提高10%;对于空心截面,由于管内混凝土较少,偏于安全计,不考虑钢管抗拉强度的提高。
5.1.6 在人行天桥和公路桥中采用钢管混凝土柱时,经济效果突出,因而有着广泛的应用前景。同时随着社会的高速发展,现代交通工具已经成为人们生活中必不可少的一部分,结构最有可能遭受交通工具撞击的偶然作用。对于不可能遭到汽车撞击的柱,可采用空心钢管混凝土柱,利用柱中空心部分作为管线通道;对于可能遭到撞击的柱,宜采用实心钢管混凝土柱,因撞击后,便于修复。
本规程公式(5.1.6-2)和公式(5.1.6-7)的来源如下(相关研究参见余敏、查晓雄《实空心钢管混凝土柱在汽车撞击下的性能研究》,2011):
1 汽车撞击等效力
采用NCAC(National Crash Analysis Center美国国家撞击分析中心)的汽车模型对汽车撞击钢管混凝土柱进行了大量的非线性动力有限元分析,并对冲击力进行50ms的平均值,最终回归得汽车撞击等效静力可以按下式计算:

式中:Fs——汽车等效冲击荷载(kN);
V——撞击速度,当无路况统计信息时,可取50km/h;
M——汽车的质量,当无路况统计信息时,可按中型载重车,取7.7ton。
荷载作用位置为行车道以上1.2m处,直接分布于被撞击构件上;作用方向同车辆行驶方向。对于设置了防撞击设备时,可不进行汽车撞击验算。
2 抗冲击验算
对于钢管混凝土的抗冲击分析,可以从承载力和变形两方面来进行验算,被撞击时,当外界荷载大于构件的承载力时,构件将发生破坏,同时如果构件变形过大,也认为构件破坏,因此:
对于承载力要求:

式中:Pu——柱构件的静力极限抗侧推承载力;
Fs——外撞击的等效静力荷载。
对于变形要求:

式中:△allow——构件允许的最大变形,根据设计要求取值,如取柱长1/50;
△max——冲击下的构件的最大变形,可以结合耗能曲线和外界冲击能得到。
3 钢管混凝土构件在跨中侧推时的荷载-位移曲线和耗能-位移曲线通过计算发现钢管在侧向冲击时,最大变形和最终变形较为接近,因此偏于安全地以最大变形作为抗冲击性能的衡量指标。在冲击力作用下,构件达到最大变形时,构件的速度可以认为是零。根据能量守恒,此时构件的变形能等于外界冲击能。根据对构件在轴压下进行弹性和刚塑性分析,最终给出三段式构件跨中侧推时的荷载-位移模型(图8)。对应的函数表达式为公式(30),对其积分得构件的耗能-位移关系,见公式(31)。

图8 三段式侧推力-位移模型曲线
侧推力:

冲击能:

式中:Kp——初始刚度,按
;
△y、△u——水平段起始点和终止点的位移,
;
Pu——侧推力峰值;
kb——边界条件系数,简支:kb=1;铰接:kb=3/2;固接:kb=2;
Mp——轴力为N时,截面的塑性极限弯矩,根据强度压弯相关方程计算。
根据(31)式,再结合外界冲击能,即可反向得到构件的最大变形。
当 N=0时:
当 N≠0时:

5.1.7 钢管混凝土柱轴压稳定承载力计算应符合下列规定:
统一理论把钢管混凝土视为单一材料,因而可在钢结构设计规范稳定系数计算公式的基础上,将稳定系数的公式扩展到钢管混凝土受压构件上,得实心和空心钢管混凝土的稳定系数的统一计算公式。

式中:λsc——正则长细比;
Esc——钢管混凝土弹性模量;
λsc——构件的长细比;
L0——构件的计算长度;
isc——回转半径。
为了避免用分段函数来计算稳定系数,假设钢管混凝土的等效初始偏心率为:

式中:K——等效初始偏心率系数,用来综合考虑不同含钢率和形状对稳定系数的影响,经过分析计算,最后给出钢管混凝土构件的等效初始偏心率系数为:K=0.25。

通过大量的试验对比,证明公式正确可行。这样通过查长细比
(含钢管混凝土的强度fsc和钢管混凝土弹性模量Esc),可以得到稳定系数,但虽然查λsc方便,由于对计算钢管混凝土的强度 fsc和钢管混凝土弹性模量Esc并不方便,故采用钢结构的处理方法,转换为按照钢材的强度和弹性模量来查稳定系数,因为钢材的这些值都是确定的。这样的话,需要进行等效处理。
具体可按下列公式计算:
由条文说明5.1.3可知:

由长细比定义:

由此,本规程中表5.1.7-1轴压构件的稳定系数由λsc(0.001fy+0.781)查得。由于多边形截面的 N 皆小于1,故其稳定系数比圆形截面小。
与80个实验结果相比,试验值与计算值之比,平均值为1.124,均方差为0.02,符合良好。
钢管再生混凝土轴压长柱,哈工大深圳研究生院对外径219mm,钢管壁厚4mm,柱高3770mm,空心直径分别为52.8mm,70.8mm的钢管再生混凝土试件做了实验研究,其研究结果如图9所示:

图9 空心钢管混凝土和空心钢管再生混凝土承载力对比
从图9来看,空心钢管再生混凝土承载力只有实心钢管混凝土承载力的70%~80%。实验中还测得再生混凝土立方体试块和混凝土立方体试块的抗压强度分别是52.9MPa和53.3MPa,再生混凝土强度和混凝土强度基本一致,但二者的弹性模量有一定的区别,再生混凝土弹性模量是2.8×104N/mm2,混凝土弹性模量是3.5×104N/mm2。
弹性模量的差别将引起稳定系数的变化,需要将普通钢管混凝土的稳定系数再乘以一个系数,这样就可以得到钢管再生混凝土的稳定系数,通过对实验结果进行分析,可以得到系数是
,ErC是再生混凝土的弹性模量,EC是与再生混凝土同标号的普通混凝土的弹性模量。
对于拔梢杆,截面沿长度变化,因而刚度沿长度而变化。按照日本柱子研究委员会1973年编辑出版的结构稳定手册“Hand-book of Structural Stability”,列出了四种边界条件的拔梢杆在轴心受压时的临界力公式:

将上式乘以
整理后,得:

令
,上式变为下式:

由此,拔梢杆应按长细比λ=βλmax查稳定系数。
式中:EhI0——拔梢杆下端最大截面的受弯刚度;
A0——拔梢杆下端最大截面的面积;
λmax——拔梢杆按下端截面的回转半径和二端铰接杆计算的最大长细比;
L——柱子的长度;
m——稳定系数;
μ——柱子的计算长度系数;二端固定时,μ=0.5;二端铰接时,为1.0;一端固定一端铰接时,为0.7;一端固定一端自由时,为2.0。
本规程表5.1.7-2给出了四种情况的 β 值,Imin/Imax按照半径比分别为0.1~1来给出的,由此可计算拔梢杆的长细比,并查稳定系数 φ。最后计算构件的稳定承载力:N=φAhfh;这里,Ah是拔梢杆的换算等效截面面积,取距离小端0.4L处的截面面积。因为在推导临界力时,采用的是等效截面的概念。
5.1.8 椭圆形钢管混凝土轴心受压构件设计应符合下列规定:
在大江和大河中的大桥常采用椭圆形钢管混凝土桥墩,因而推荐椭圆形实心钢管混凝土构件的设计。椭圆形钢管混凝土绕长、短轴的承载力不同,应根据情况分别计算(相关研究参见详见查晓雄、刘习超《椭圆形钢管混凝土构件性能的研究》,2011年4月)。
5 钢管混凝土承重构件设计和刚度计算
5.1 单肢钢管混凝土构件在单一受力下的承载力和刚度计算
5.1.1 钢管混凝土短柱的轴向受压强度承载力设计值应符合下列规定:
本规程中钢管混凝土构件承载力的计算采用了“钢管混凝土统一理论”中的统一设计公式。统一理论的含意简介如下(参见钟善桐著《钢管混凝土统一理论》,清华大学出版社,北京,2006):
把钢管混凝土看作是一种组合材料,研究它的组合工作性能。它的工作性能具有统一性、连续性和相关性。
“统一性”首先反映在钢材和混凝土两种材料的统一。把钢管和混凝土视为一种组合材料来看待,用组合性能指标来确定其承载力。
其次是不同截面构件的承载力的计算是统一的。不论是实心或空心钢管混凝土构件,也无论是圆形、多边形还是正方形截面,只要是对称截面,设计的公式都是统一的。
“连续性”反映在钢管混凝土构件的性能变化是随着钢材和混凝土的物理参数,和构件的几何参数的变化而变化的,变化是连续的。
“相关性”反映在钢管混凝土构件在各种荷载作用下,产生的应力之间存在着相关性。
1 关于轴压强度设计值
1993年原哈尔滨建筑工程学院(现哈尔滨工业大学土木工程学院)首次采用有限元法导得实心钢管混凝土轴压构件轴向压力与纵向应变的全过程曲线。确定曲线由弹塑性阶段终了进入强化阶段时为构件的受压强度标准值,无强化阶段而极值破坏时,则以极值点的平均应力为构件的受压强度标准值(f yss)。经分析,对各种钢材和混凝土,以及不同含钢率,如有弹塑性阶段和强化阶段时,该点均在纵向压应变约为3000με处。如无强化阶段而为极值破坏时,则在3000με前破坏。由此导得实心钢管混凝土轴心受压时的受压强度设计值fss。空心钢管混凝土轴心受压时,由于存在空心,都在3000με前破坏。见图3和图4。
图3 B点和B点前极值点AB曲线的回归关系
图4 空心钢管混凝土轴压脆性破坏时的压力和应变曲线
2004年哈尔滨工业大学和杭州中电电力研究所(包括山东、大连和徐州杆塔有限公司)合作完成了大量空心钢管混凝土轴压构件的试验,包括圆形,正十六边形,正八边形和正方形。证明了当空心率较大时,应力应变全过程曲线在应变小于3000με前出现峰值而破坏。图4所示试件6A-1和6A-2的套箍系数θh=1.2464,空心率为0.511和0.510及6B-1和6B-2的套箍系数为1.869,空心率为0.387和0.386。它们的套箍系数虽都大于1,但由于存在空心,因而表现为脆性。
由图3,将B点的轴压强度设计值,和B点前破坏时的极值点,进行回归,得实心或空心钢管混凝土轴压时的受压强度设计值:

对于实心截面,公式中的系数B和C,对不同截面形状取不同值,列入规程表5.1.1-1。
对于空心截面,表5.1.1-1中的fCK都应乘以1.1。这是由于管内混凝土系离心法浇灌,混凝土强度提高10%。k1是由于空心构件中的混凝土较少,钢管对混凝土的套箍作用效应就较小,因而采用一个套箍效应折减系数;经分析并经实验验证,对圆形和正十六边形取0.6,对正八边形取0.4,正方形取0.3。计算实心构件时,套箍系数中的含钢率用实心构件的,计算空心构件时,用空心的。(相关研究参见钟善桐、查晓雄《空心钢管混凝土结构技术规程CECS 254:2009简介》,2010)。
最终为了表述简单,对于空心构件,将k1的取值分别乘到B,C中,统一采用B,C来考虑形状和空心的影响。同时将B,C中的材料标准值用设计值代替,其中钢材的材料分项系数取四种钢材的平均值为1.105,混凝土材料分项系数按1.4取值(标准值等于设计值乘上分项系数),见本规程表5.1.1-1,对应公式(5.1.1-1)。
统一公式同时适用于实心与空心钢管混凝土轴压构件,也适用于不同截面形式,如圆形和正十六边形、正八边形、正方形和矩形截面。规范附录B表B1~B6就是按上述公式计算得到的实心和空心三种截面的受压强度设计值。这三种截面的受压强度设计值都是各自第一、二、三、四组钢材时强度设计值的平均值,误差都在±5%以内。
第一组钢材是指钢材厚度 t≤16mm;第二组钢材 t 在16~40mm(Q235),和16mm~35mm(Q345,Q390,Q420)范围;第三组钢材 t 在40mm~60mm(Q235)和35mm~50mm(Q345,Q390,Q420)范围;第四组钢材 t 在60mm~100mm(Q235)和50mm~100mm(Q345,Q390,Q420)范围。
管中混凝土可用普通混凝土、海砂混凝土或再生混凝土。
钢管海砂混凝土只应用于实心钢管混凝土构件,且两端必须密封,防止雨水浸入。海砂混凝土用于钢筋混凝土构件时,海砂中的盐对钢筋起锈蚀作用,体积增大,挤压混凝土,使混凝土保护层脱落。也降低了构件的承载力和防火能力。
钢管混凝土构件中的核心混凝土和钢筋混凝土的工作环境不同,主要在钢管混凝土封闭的环境中缺少使钢材发生腐蚀的氧气和水分;因此,在钢管内海砂对钢管内壁的腐蚀很小。研究证明:海砂对钢管内壁的少量锈蚀,体积膨胀,但很小,能增加对混凝土的紧箍效应。还是有利的。但应对构件密封,防止雨水和空气侵入,造成钢管严重锈蚀现象的发生。(相关研究参见哈工大深圳研究生院《海砂钢管混凝土柱耐腐蚀性能的试验和理论研究》,2012年6月)。
对钢管再生混凝土柱分别研究了空心率为零(实心)以及空心率为37%的空心钢管再生混凝土短柱的轴心受压承载力(相关研究参见哈工大深圳研究生院《钢管再生混凝土柱承载力及抗火性能研究》,2012年6月),当再生混凝土和普通混凝土的强度等级都是C40时,它们的荷载-位移曲线如下:
从图5(a)来看,实心钢管混凝土和实心钢管再生混凝土的荷载-位移曲线比较吻合。从图5(b)来看,当空心率为37%时,空心钢管混凝土短柱和空心钢管再生混凝土短柱的极限承载力基本相同。这说明,运用实心钢管混凝土短柱受压极限承载力的公式来计算空心钢管再生混凝土短柱受压极限承载力是可行的,当再生混凝土强度等级与普通混凝土相同时,它们应用于空心钢管混凝土中的强度也基本一样,因此钢管再生混凝土单肢短柱承载力可以采用钢管混凝土短柱的计算公式。
图5 不同空心率的空心钢管再生混凝土和钢管
普通混凝土轴压破坏时的荷载位移曲线
2 关于设计可靠度
钢管混凝土构件需要进行可靠度分析,此次规程暂未列出,哈尔滨工业大学提出了《钢管混凝土组合可靠度指标分析法》,在此予以介绍,可供相关工程技术人员参考。
此法是按照构件中钢管和混凝土分别承担承载力的比例,求得构件的组合可靠度。此法忽略了钢管和混凝土之间的套箍效应,属于近似法。
设构件的含钢率为 a,则钢管承担的部分内力为 afy,而混凝土承担的部分内力应为(1-a)fck。
由此得钢管承担的部分内力的比例为:

混凝土承担的部分内力的比例为:

钢管混凝土构件的组合可靠度指标应为:

分析和试验结果:只有实心圆截面和正十六边形钢管混凝土轴压时具有很大的塑性,其他截面如实心正方形和矩形截面,以及各种空心截面轴压时都表现为脆性。
对实心圆截面和正十六边形钢管混凝土的组合可靠度指标均大于3.2,应按钢结构要求,取强度设计值乘以可靠度修正系数k2,可提高组合轴压强度设计值:

其他截面包括空心钢管混凝土构件的组合可靠度指标虽大于3.2,但却小于3.7。试验证明,它们大都属于脆性破坏,其组合可靠度指标在《建筑结构可靠度设计统一标准》GB 50068中并无规定。现按混凝土的要求,取βsc小于3.7的比值将其强度设计值乘以可靠度修正系数k2,以降低组合轴压强度设计值:

研究和试验证明,实心圆形钢管混凝土构件,在100%设计荷载作用下,P-△滞回曲线无下降段,具有很好的延性。因而可以不限制构件的轴压比;令设计轴压比等于1,得到构件的长细比最大值,即长细比限值,如本规程表4.4.4所列。但当构件的长细比超过限值时,仍应按规定限制轴压比。其他截面构件在循环荷载作用下,均分别表现为不同程度的脆性,因而用于地震区时,都应按规定限制轴压比。
3 关于管内混凝土的徐变和收缩
1) 利用有限元法算出实心钢管混凝土构件中核心混凝土的自由徐变量、构件徐变量和核心混凝土的卸载徐变量。该有限元程序中相关的徐变参数设置是由已有混凝土试验数据得到,并经钢管混凝土构件受压试验验证是合理的。得到徐变量后,从徐变发生前后钢与混凝土切线模量的变化,引起的折算模量变化来分析计算构件的稳定承载能力的折减,得到徐变对实心钢管混凝土受压构件稳定承载力的影响,及钢材型号、混凝土强度级
别、恒载占设计荷载的百分比和长细比等因素的关系,计算出徐变后构件稳定承载力的影响系数kc。空心构件由于管内混凝土较少,因而混凝土徐变对受压构件稳定承载力的影响就小些,且还和空心率有关(相关研究参见王洪欣,查晓雄《徐变对空心钢管混凝土轴压稳定承载力的影响》,2009)。
分析中,考虑了混凝土强度和模量随龄期的增长而提高,及混凝土中加5%膨胀剂的影响,和空心构件的混凝土在蒸汽养护条件下强度和模量提高等因素,得到徐变影响系数。
此结果是水灰比为0.3时的情况,其它情况也可借鉴。
管内混凝土的徐变主要发生在1~3个月内,超过6个月变化很小,并在1年左右几乎完全停止。在外荷载作用下,由于管内混凝土发生徐变变形,产生内力重分布现象,导致钢管和管中混凝土应力的改变,二者的模量发生变化,因而使构件的稳定承载力发生变化,稳定承载力下降。
对于偏压构件,只在小偏心率(e/r0≤0.3)时,徐变对构件稳定承载力才有影响。此处 e 和r0分别是荷载的偏心和管柱的半径。
由此,得到Q235、Q345、Q390和Q420四种钢材时的混凝土徐变影响系数,四种钢材的影响系数kc很接近,取平均值;结果见本规程表5.1.1-2。此徐变影响系数是混凝土采用5%膨胀剂的结果。
2) 钢管初应力的影响
在高层建筑和单层厂房中,一般可先安装空钢管,然后一次性向管内浇灌混凝土。这时,钢管中存在初应力。将影响柱的稳定承载力。为了控制此影响在5%以内,经分析,应控制初应力不超过钢材受压强度设计值的60%。
对于连续施工,将其转换为多步初应力问题,通过弹性稳定理论推导可得考虑混凝土硬化的多步初应力问题的跨中绕度计算公式为:

式中:δi、δn——分别为第 i 级和 n 级加载时的跨中绕度;
δ0——钢管的初始绕度;
Ni、Nn——分别为第 i 级和 n 级加载时的荷载增量;
Ncr,i、Ncr,n——分别为第 i 级和 n 级加载时的构件欧拉临界荷载;
ki、kn——分别为第 i 级和 n 级加载时构件绕度相对于单次加载的放大系数。
当混凝土龄期超过9d时,混凝土的弹性模量变化较小,则9d龄期后构件的欧拉临界荷载Ncr,i和Ncr,i+1相差不大。因此龄期9d后,跨中绕度的放大系数kn将保持恒定,也即龄期超过9d后,后续分步加载对构件的等效初始偏心影响较小。同时根据稳定系数的公式可知稳定系数将不再继续降低。同时根据极限理论和实验知分步加载对构件的强度承载力影响很小。因此,只用考虑混凝土龄期在9d前的施工过程对构件承载力的降低影响。偏于安全的认为混凝土9d龄期前,钢管承担所有的荷载,将连续施工的龄期问题转换为初应力问题,即要求此时的荷载不超过空钢管承载力的60%。
3) 管内混凝土的收缩问题
为了了解管内混凝土收缩对钢管混凝土构件工作性能的影响,哈工大于1978作了两个实心圆钢管混凝土管内混凝土的收缩试验,试件为φ198×3,Q235钢材,C30混凝土。No.1试件进行了440d的观测,No.2试件进行了754d的观测,分别测定混凝土中心和混凝土表皮,以及钢管外表的纵向应变。随后,又与中国建筑第三工程局科研所合作,于1985~1086年间进行了一个φ723×10,L=1600mm的管内混凝土收缩的测定。采用钢材Q235,混
凝土为工程中常用的,其配比为:0.48:1:2.18:3.88,掺FDN减水剂0.3%。浇灌混凝土后,立即盖上封顶板,密闭养生。72小时后,开始测定管内混凝土的径向应变,连续观测了一年。
根据上列试验结果,测得管内混凝土的收缩由于受到钢管的阻碍,比自由收缩小很多。其纵向收缩率约为250×10-6,径向收缩率约为89.4×10-6。
按此收缩率计算。纵向收缩很大,设一次浇灌混凝土高度为10m时,混凝土的纵向收缩为2.5mm。为了消除纵向收缩的影响,应在浇灌混凝土后任其收缩,然后加一些同标号的水泥砂浆抹平即可。
按照混凝土的径向收缩率计算,混凝土可能产生的径向应力为σ=89.4×10-5Ec,此应力超过了混凝土的受拉强度,如下表8所列:
表8 混凝土参数

表中:Ec是混凝土的弹性模量,σr是由于混凝土径向收缩受钢管的约束可能产生的径向拉应力,ft是混凝土的受拉强度。由表列值可见,混凝土径向收缩可能产生的拉应力超过混凝土的受拉强度,也超过混凝土与钢管之间的粘结力。因此,混凝土必将脱开钢管,在钢管与混凝土之间产生缝隙。此缝隙的大小应为:
△=89.4×10-6r,r是核心混凝土的半径。当直径为1m时,△=0.0447mm,为2m时,△=0.09mm。
这样小的空隙,对管柱截面的面积,以及截面的受压和受弯刚度是没有影响的。因为钢管和混凝土是同心圆,因而这样小的缝隙并不减小截面面积和截面惯性矩。
因此,可以认为产生的缝隙不会影响混凝土与钢管的共同工作。而且,通常在混凝土中掺一些膨胀剂(≯5%),可消除或减小这些缝隙。
《钢结构》2007年1期纪洪广,张贝贝一文“有脱空缺陷的钢管混凝土短柱承载力分析”中,得到的结果为:环向产生5mm的空隙时,可不考虑承载力的降低,也证明了上面的分析。
即使存在了这种缝隙,随着工程的进展,垂直荷载的不断增加,混凝土的径向扩大,此缝隙也就自然消失了。
空心钢管混凝土构件是把空钢管放在高速旋转的离心机上,在钢管中放入一定量的混凝土,在高速旋转的离心力的作用下,使混凝土密贴钢管内壁;而且,混凝土中部又为空心。因此,混凝土的收缩不会脱离钢管。故可不考虑混凝土的收缩。
抗震调正系数γRE取自现行行业标准《高层民用建筑钢结构技术规程》JGJ 99。
5.1.2 钢管混凝土构件的受剪、受扭承载力设计值计算应符合下列规定:
1986年采用有限元法导得实心圆钢管混凝土构件受纯扭作用时的全过程曲线(图6),并经实验验证。受剪强度,是取对应于最大剪应变为3500με处的平均剪应力,它直接和构件的轴压强度有关。对空心截面,同样采用这种关系。
在钢管混凝土构件的受扭过程中,其截面应力是最外圈应力最大,然后向中心逐步发展塑性,所以钢管对钢管混凝土的受扭作用是主要的。对于混凝土来讲,对钢管混凝土的受扭起作用的是混凝土的受拉强度,而混凝土的受拉强度是很小的,即对钢管混凝土的受扭贡献很小。但是在钢管混凝土中,由于混凝土对钢管起到了很好的支撑作用,使得外钢管能够很好的发展塑性,现假设外钢管能够完全达到屈服强度,而不考虑混凝土的受扭作用,则可以得到如下形式(图7)(相关研究参见哈工大深圳研究生院《空、实心钢管混凝土构件抗扭抗剪性能的研究》,2012年6月):

式中:ρ——钢管受扭时的有效力臂,应该为钢管中心环线到圆心的距离,即
,但考虑到钢管通常较薄,可近似取为 r,其带来的误差很小。
图6 钢管混凝土构件受纯扭时最大剪应力与剪应变全过程曲线
图7 纯扭时计算模型
公式(5.1.2-1)是假设外钢管全部达到屈服,但在实际受扭极限承载力分析中,我们只考虑了部分发展塑性,所以该式所得值将偏大,偏于不安全,需考虑折减,通过与相关文献中的试验数据对比,可以取折减系数为0.71,则原公式变为:

根据“统一理论”,把钢管混凝土当作统一材料,则其极限扭矩与扭剪应力有如下关系:

式中:fsv——钢管混凝土的极限剪切强度设计值;
WT——截面受扭抵受矩,
。
将式(12)与式(13)相等,则得到钢管混凝土的等效极限剪切强度为:

从式(14)中看出,极限剪切强度fsv只与钢材强度以及含钢率有关,而与混凝土等级无关。钢材的材料分项系数取四种钢材的平均值为1.105,得本规程公式(5.1.2-4)。
极限受剪强度,乘以相应的截面面积便可得到实心截面的受剪承载力公式,即:

对于空心钢管混凝土的受剪承载力,因为受横向荷载产生的剪应力,在截面上的剪应力分布是外边缘为零,而中性轴处最大。因而计算受剪承载力时,空心率对其受剪承载力影响较大,取折减系数为0.736Ψ2-1.094Ψ+1。
式中:μ——钢管混凝土受剪强度折减系数;由于等效受剪极限强度是通过纯扭的极限平衡理论得到的,而钢管混凝土在受纯剪荷载时,其截面剪应力分布和纯扭作用下的应力分布不同。因为钢管混凝土受纯剪作用时,最大剪应力在截面中轴上,往两边逐渐减小,故要考虑折减,通过与参考文献中公式计算结果对比,可以取μ=0.71。
对于空心钢管混凝土的受扭承载力,因核心混凝土对钢管混凝土的受扭承载力贡献不大,且空心率对其受扭承载力影响不大,所以空心钢管混凝土的受扭承载力在相应实心钢管混凝土的受扭承载力上进行折减,折减系数取为常数0.9。
5.1.3 当计算钢管混凝土构件在复杂受力状态下的欧拉临界荷载时,钢管混凝土构件的弹性刚度由实心钢管混凝土轴压构件短试件(L/D=3.5~4.0)的平均压应力和纵向压应变的全过程曲线,可得受压的弹性模量,它和受压强度标准值,及钢材的弹性模量有关。对空心构件也相同。可按下列公式计算:

式中:f psc——截面的比例极限;
εpsc——截面的比例应变;
Es——钢材的弹性模量,Es=206×103N/mm2;
fy——钢材的屈服点应力。
由上列公式可见,弹性模量Esc和轴压强度标准值f ysc成正比,因而上式可写成下列形式:

由于强度标准值和强度设计值的比值都接近1.3,为了设计方便,取f ysc=1.3fsc,可得:

由轴压刚度Bsc=AscEsc可得出:

由上列推导可见,实心和空心构件的系数kE相同,且只和钢材的屈服点fy及弹性模量Es有关。见本规程表5.1.3。
受弯弹性模量推导如下:
轴压刚度:EscAsc=EsAs+EcAc,
受弯刚度:EscmIsc=EsIs+EcIc
二式相比,

因为 Escm和 Esc有关,而 Esc又和f ysc有关,故不同截面的受弯弹性模量也不同。
1 实心截面:

2 空心截面:

当受弯构件截面出现受拉区时,由于受拉区的混凝土开裂,截面的刚度减小,因此截面的惯性矩减小,因此,受弯刚度为EsmIoss和EhmIoh。
5.1.4 当计算钢管混凝土构件受剪受扭变形时,钢管混凝土构件的剪变刚度和受扭刚度。
由实心圆钢管混凝土构件受扭时得到的平均剪应力与最大剪应变的全过程曲线,可得弹性剪变模量,参见图6。对于空心构件,计算表明钢管混凝土构件抗扭主要由钢管承担,故空心构件剪变刚度和受扭刚度计算中都是采用相同情况下实心钢管混凝土截面的剪变模量(相关研究参见查晓雄、谢先义《空、实心钢管混凝土构件抗扭抗剪性能的研究》,2012)。
1 实心截面:

式中:Gss——等效剪切模量;
G'ss——剪切模量,
a——含钢率。
2 空心截面:

式中:Ψ——空心率。
按本式算得的Gss值,因各种截面第一、第二和第三组钢材时的受剪模量相差不大,取其平均值,如本规程表5.1.4所列,平均误差都在3%以内。
5.1.5 钢管混凝土构件受拉力作用时,管内混凝土将开裂,不承受拉力作用,只有钢管承担全部拉力。不过,钢管受拉力作用而伸长时,径向将收缩;但却受到管内混凝土的阻碍,而成为纵向受拉而环向也受拉的双向拉应力状态,其抗拉强度将提高。提高值和所受来自混凝土的阻力大小有关。对于实心截面,钢管的抗拉强度提高10%;对于空心截面,由于管内混凝土较少,偏于安全计,不考虑钢管抗拉强度的提高。
5.1.6 在人行天桥和公路桥中采用钢管混凝土柱时,经济效果突出,因而有着广泛的应用前景。同时随着社会的高速发展,现代交通工具已经成为人们生活中必不可少的一部分,结构最有可能遭受交通工具撞击的偶然作用。对于不可能遭到汽车撞击的柱,可采用空心钢管混凝土柱,利用柱中空心部分作为管线通道;对于可能遭到撞击的柱,宜采用实心钢管混凝土柱,因撞击后,便于修复。
本规程公式(5.1.6-2)和公式(5.1.6-7)的来源如下(相关研究参见余敏、查晓雄《实空心钢管混凝土柱在汽车撞击下的性能研究》,2011):
1 汽车撞击等效力
采用NCAC(National Crash Analysis Center美国国家撞击分析中心)的汽车模型对汽车撞击钢管混凝土柱进行了大量的非线性动力有限元分析,并对冲击力进行50ms的平均值,最终回归得汽车撞击等效静力可以按下式计算:

式中:Fs——汽车等效冲击荷载(kN);
V——撞击速度,当无路况统计信息时,可取50km/h;
M——汽车的质量,当无路况统计信息时,可按中型载重车,取7.7ton。
荷载作用位置为行车道以上1.2m处,直接分布于被撞击构件上;作用方向同车辆行驶方向。对于设置了防撞击设备时,可不进行汽车撞击验算。
2 抗冲击验算
对于钢管混凝土的抗冲击分析,可以从承载力和变形两方面来进行验算,被撞击时,当外界荷载大于构件的承载力时,构件将发生破坏,同时如果构件变形过大,也认为构件破坏,因此:
对于承载力要求:

式中:Pu——柱构件的静力极限抗侧推承载力;
Fs——外撞击的等效静力荷载。
对于变形要求:

式中:△allow——构件允许的最大变形,根据设计要求取值,如取柱长1/50;
△max——冲击下的构件的最大变形,可以结合耗能曲线和外界冲击能得到。
3 钢管混凝土构件在跨中侧推时的荷载-位移曲线和耗能-位移曲线通过计算发现钢管在侧向冲击时,最大变形和最终变形较为接近,因此偏于安全地以最大变形作为抗冲击性能的衡量指标。在冲击力作用下,构件达到最大变形时,构件的速度可以认为是零。根据能量守恒,此时构件的变形能等于外界冲击能。根据对构件在轴压下进行弹性和刚塑性分析,最终给出三段式构件跨中侧推时的荷载-位移模型(图8)。对应的函数表达式为公式(30),对其积分得构件的耗能-位移关系,见公式(31)。

图8 三段式侧推力-位移模型曲线
侧推力:

冲击能:

式中:Kp——初始刚度,按
;
△y、△u——水平段起始点和终止点的位移,
;
Pu——侧推力峰值;
kb——边界条件系数,简支:kb=1;铰接:kb=3/2;固接:kb=2;
Mp——轴力为N时,截面的塑性极限弯矩,根据强度压弯相关方程计算。
根据(31)式,再结合外界冲击能,即可反向得到构件的最大变形。
当 N=0时:
当 N≠0时:

5.1.7 钢管混凝土柱轴压稳定承载力计算应符合下列规定:
统一理论把钢管混凝土视为单一材料,因而可在钢结构设计规范稳定系数计算公式的基础上,将稳定系数的公式扩展到钢管混凝土受压构件上,得实心和空心钢管混凝土的稳定系数的统一计算公式。

式中:λsc——正则长细比;
Esc——钢管混凝土弹性模量;
λsc——构件的长细比;
L0——构件的计算长度;
isc——回转半径。
为了避免用分段函数来计算稳定系数,假设钢管混凝土的等效初始偏心率为:

式中:K——等效初始偏心率系数,用来综合考虑不同含钢率和形状对稳定系数的影响,经过分析计算,最后给出钢管混凝土构件的等效初始偏心率系数为:K=0.25。

通过大量的试验对比,证明公式正确可行。这样通过查长细比
(含钢管混凝土的强度fsc和钢管混凝土弹性模量Esc),可以得到稳定系数,但虽然查λsc方便,由于对计算钢管混凝土的强度 fsc和钢管混凝土弹性模量Esc并不方便,故采用钢结构的处理方法,转换为按照钢材的强度和弹性模量来查稳定系数,因为钢材的这些值都是确定的。这样的话,需要进行等效处理。
具体可按下列公式计算:
由条文说明5.1.3可知:

由长细比定义:

由此,本规程中表5.1.7-1轴压构件的稳定系数由λsc(0.001fy+0.781)查得。由于多边形截面的 N 皆小于1,故其稳定系数比圆形截面小。
与80个实验结果相比,试验值与计算值之比,平均值为1.124,均方差为0.02,符合良好。
钢管再生混凝土轴压长柱,哈工大深圳研究生院对外径219mm,钢管壁厚4mm,柱高3770mm,空心直径分别为52.8mm,70.8mm的钢管再生混凝土试件做了实验研究,其研究结果如图9所示:

图9 空心钢管混凝土和空心钢管再生混凝土承载力对比
从图9来看,空心钢管再生混凝土承载力只有实心钢管混凝土承载力的70%~80%。实验中还测得再生混凝土立方体试块和混凝土立方体试块的抗压强度分别是52.9MPa和53.3MPa,再生混凝土强度和混凝土强度基本一致,但二者的弹性模量有一定的区别,再生混凝土弹性模量是2.8×104N/mm2,混凝土弹性模量是3.5×104N/mm2。
弹性模量的差别将引起稳定系数的变化,需要将普通钢管混凝土的稳定系数再乘以一个系数,这样就可以得到钢管再生混凝土的稳定系数,通过对实验结果进行分析,可以得到系数是
,ErC是再生混凝土的弹性模量,EC是与再生混凝土同标号的普通混凝土的弹性模量。
对于拔梢杆,截面沿长度变化,因而刚度沿长度而变化。按照日本柱子研究委员会1973年编辑出版的结构稳定手册“Hand-book of Structural Stability”,列出了四种边界条件的拔梢杆在轴心受压时的临界力公式:

将上式乘以
整理后,得:

令
,上式变为下式:

由此,拔梢杆应按长细比λ=βλmax查稳定系数。
式中:EhI0——拔梢杆下端最大截面的受弯刚度;
A0——拔梢杆下端最大截面的面积;
λmax——拔梢杆按下端截面的回转半径和二端铰接杆计算的最大长细比;
L——柱子的长度;
m——稳定系数;
μ——柱子的计算长度系数;二端固定时,μ=0.5;二端铰接时,为1.0;一端固定一端铰接时,为0.7;一端固定一端自由时,为2.0。
本规程表5.1.7-2给出了四种情况的 β 值,Imin/Imax按照半径比分别为0.1~1来给出的,由此可计算拔梢杆的长细比,并查稳定系数 φ。最后计算构件的稳定承载力:N=φAhfh;这里,Ah是拔梢杆的换算等效截面面积,取距离小端0.4L处的截面面积。因为在推导临界力时,采用的是等效截面的概念。
5.1.8 椭圆形钢管混凝土轴心受压构件设计应符合下列规定:
在大江和大河中的大桥常采用椭圆形钢管混凝土桥墩,因而推荐椭圆形实心钢管混凝土构件的设计。椭圆形钢管混凝土绕长、短轴的承载力不同,应根据情况分别计算(相关研究参见详见查晓雄、刘习超《椭圆形钢管混凝土构件性能的研究》,2011年4月)。
5.2 格构式钢管混凝土轴心受压构件的承载力计算
5.2.1 格构式柱由柱肢和腹杆组成。腹杆分缀板和缀条,又称缀板和缀条。确定格构式柱在轴向压力作用下的稳定承载力时,必须考虑腹杆产生变形的影响。因此,临界应力应按下列公式计算:

式中:λ0y——考虑腹杆变形的换算长细比;
μ——换算长细比系数,决定于腹杆变形产生的单位剪切角;
γ1——单位剪力作用下,格构式柱产生的剪切角变形。
双肢,三肢和四肢格构式柱,在单位剪力作用下,可导出单位剪切角γ1,由公式(49)得换算长细比系数,再由公式(50)即可得换算长细比。不同的柱子截面和不同的腹杆体系,γ1不同。对于双肢柱有时采用平腹杆,有时采用斜腹杆,因而列出了分别采用平腹杆和斜腹杆时的换算长细比公式。对于三肢和四肢柱,一般都采用斜腹杆体系,因此,只列出了采用斜腹杆时的换算长细比公式。对于三肢柱截面的宽度与高度之比不得大于2.2的规定,是防止整体平面外失稳。
5.2.2 格构式柱除应验算整体稳定承载力外,尚应验算单肢稳定。本条规定的单肢不需验算稳定的条件是采用了现行国家标准《钢结构设计规范》GB 50017中的规定。
对于三肢和四肢柱,其组成的双肢在平面外的稳定验算,就是双肢柱的稳定。按双肢柱稳定公式验算。三肢柱中的单肢,平面外的稳定性很差,应依靠平面外的支撑和构件来减少其计算长度来保证。对于单跨房屋,采用三肢组合柱时,其单肢应套入墙内,以保证其平面外的稳定。
5.2.3 轴心受压钢管混凝土柱所受的剪力 V,采用了现行国家标准《钢结构设计规范》GB 50017中的规定。
5.3 钢管混凝土构件在复杂受力状态下的承载力计算
5.3.1 钢管混凝土构件在压、弯、扭、剪共同作用下,恒决定于稳定,因而只给出了验算稳定的公式。这是一个包含 N,M,T和V 的四维方程,当 T=0时,为 N,M 和 V 的三维方程;当 T=V=0时,得偏心受压的相关曲线,如图10所示。稳定承载力按两项式进行验算,见本规程公式(5.3.1-6)和公式(5.3.1-7)。(相关研究参见哈工大深圳研究生院《空、实心钢管混凝土构件复杂受力下统一公式》,2011)。
图10 压弯(偏心受压)构件的相关曲线
,相当于欧拉临界力NE除以抗力分项系数的平均值1.1,为了设计方便,本规程公式(5.3.1-3)中的组合弹性模量Esc,如前所述,可取Esc=1.3kEfsc来进行计算,对结果影响很小。
由此,推导如下:

只有在计算结构变形时,应采用Esc。
计算公式中的受弯承载力M0(本规程公式5.3.1-4)是采用有限元法导得实心钢管混凝土受弯时的弯矩与纵向纤维应变的全过程曲线,定义最大拉应变为10000με 时的弯矩为受弯极限(图11)。空心钢管混凝土构件与此相同,同时考虑了截面的塑性发展,由此得本规程公式(5.3.1-4)。(相关研究参见哈工大深圳研究生院《多边形空心钢管混凝土轴压、纯弯构件承载力连续性理论研究》,2009)。
图11 受弯构件的弯矩和最大纵向拉应变的全过程关系曲线
椭圆形钢管混凝土绕长、短轴的抗弯承载力不同,所以在抗弯或者压弯构件中,应采用相应的抗弯承载力设计值。
5.3.2 格构式构件偏心受压时不考虑截面的塑性发展。本规程公式(5.3.2-2)是未考虑截面发展塑性的抗弯承载力验算公式。
5.3.6 单肢钢管混凝土拉弯构件的计算单肢钢管混凝土拉弯构件的承载力只考虑钢管受拉。因此给出本规程公式(5.3.6)。
6 构造要求和节点设计
6.1 一般规定
6.1.1~6.1.3 这是根据节点构造设计的基本原则提出的。从大量的结构试验和工程实践发现结构的破坏,有相当一部分是由于构造设计不合理造成的。因此,在节点的构造设计中,必须予以十分重视。
钢管混凝土构件的节点构造设计中,应特别注意以下几方面:
1 必须保证钢管与管内混凝土能共同工作,使作用力均匀地传到整个截面,避免局部应力集中,因而降低整个结构的承载力。
2 空心钢管混凝土构件在长度方向的连接,一般都采用把外钢管连接起来,在节点的连接部分没有混凝土。因此,节点部分必须加设加强管来加强,加强后的承载力必须大于钢管混凝土构件的强度和刚度。
3 外钢管的连接类似管结构,应具有可组装性,故应设置一些必要的连接部件,如加劲板和安装用的耳板等。这些附件应在浇灌混凝土之前焊好。
6.1.4 根据中船总公司第九设计院等三单位在上海基础公司特种基础研究所科研楼设计施工中的经验提出。
6.1.5 当在混凝土浇灌后加焊附件时,必须在混凝土强度达到70%,并采用合理的施焊次序,才能进行,以防损伤混凝土。
6.1.6 为保证管内混凝土的浇灌质量,应尽可能避免零部件穿过钢管。
6.1.7 本条只对剪力的外部传递作了规定。至于剪力的内部传递,可借钢管与核心混凝土之间的粘结力和钢管分段处封顶板的支承力等来实现,但目前还没有确切的计算方法。如节点的剪力很大,可将腹板穿入管心,但须注意不要妨碍混凝土的浇灌。
6 构造要求和节点设计
6.1 一般规定
6.1.1~6.1.3 这是根据节点构造设计的基本原则提出的。从大量的结构试验和工程实践发现结构的破坏,有相当一部分是由于构造设计不合理造成的。因此,在节点的构造设计中,必须予以十分重视。
钢管混凝土构件的节点构造设计中,应特别注意以下几方面:
1 必须保证钢管与管内混凝土能共同工作,使作用力均匀地传到整个截面,避免局部应力集中,因而降低整个结构的承载力。
2 空心钢管混凝土构件在长度方向的连接,一般都采用把外钢管连接起来,在节点的连接部分没有混凝土。因此,节点部分必须加设加强管来加强,加强后的承载力必须大于钢管混凝土构件的强度和刚度。
3 外钢管的连接类似管结构,应具有可组装性,故应设置一些必要的连接部件,如加劲板和安装用的耳板等。这些附件应在浇灌混凝土之前焊好。
6.1.4 根据中船总公司第九设计院等三单位在上海基础公司特种基础研究所科研楼设计施工中的经验提出。
6.1.5 当在混凝土浇灌后加焊附件时,必须在混凝土强度达到70%,并采用合理的施焊次序,才能进行,以防损伤混凝土。
6.1.6 为保证管内混凝土的浇灌质量,应尽可能避免零部件穿过钢管。
6.1.7 本条只对剪力的外部传递作了规定。至于剪力的内部传递,可借钢管与核心混凝土之间的粘结力和钢管分段处封顶板的支承力等来实现,但目前还没有确切的计算方法。如节点的剪力很大,可将腹板穿入管心,但须注意不要妨碍混凝土的浇灌。
6.2 钢管混凝土构件的钢管接长
6.2.2 由于钢管混凝土构件受压时产生很大的紧箍力,必须保证钢管不断裂破坏,因而要求连接和母材等强度。
对连接节点进行抗震设计时,各种节点承载力的计算公式中的 N、M 和 V 是考虑地震作用组合的内力,并除以抗震调系数γRE。
6.2.3 空心钢管混凝土构件在组装成柱时,为了不使焊接钢管时损坏内部混凝土,在构件端部留出一段无混凝土的部分。这部分必须在管内加一段加强管来加强,使这一段无混凝土部分的强度与刚度不小于有混凝土时的强度和刚度。
6.2.4 根据大量的试验和工程实践,按本规程公式(6.2.4-1)、公式(6.2.4-4)和公式(6.2.4-5)计算确定的加强管厚度是合适的。
这些公式的推导如下:
1 轴心受压极限承载力的要求
要求加强管的抗压极限承载力不低于管内混凝土的抗压极限承载力的130%:

各种形状截面的面积表示为:As=πvDst;Ac=πDcδc;
代入上式,且1.43取为1.5,即得:

2 抗弯极限承载力的要求
要求加强管和钢管的抗弯强度不低于钢管混凝土的抗弯强度的110%:

各种形状截面的截面模量表示为:Wh=βw(π/4)Ds3t/D
Mu=Whfhy=1.3Whfh;
代入上式,并取Ds/D=0.975,最后的常系数取1.96,得:

3 抗弯刚度要求
要求加强管的抗弯刚度不低于管内混凝土的抗弯刚度,以保证构件受弯时,钢管不先于混凝土而破坏。
要求:
对各种截面构件钢管部分和混凝土部分的惯性矩分别为:

代入上式,得:

系数 v 和 βI分别是多边形截面直径等效系数、多边形截面的截面模量及惯性矩等效系数,是以圆截面作为标准截面而导出的,可用来计算除圆截面以外的各种多边形截面的截面特性,见表9。
表9 各种截面的截面特性及相应的等效系数

由于 βw≈ βI,因而取截面模量和惯性矩的等效系数均为 β0,见本规程表6.2.3。
6.2.5 加强管长度的确定,主要考虑两个因素:第一,要使作用力通过加强管均匀地传递到混凝土截面上。第二,杆端在进行高温焊接时,不损伤内部混凝土。通过试验和产品质量检验,要保证加强管能把内力均匀地传给混凝土,其长度应为混凝土厚度的2倍。根据钢管在进行1/2环焊时,在距焊缝中心40mm处,钢管表面的温度已降至300℃以下,对内部混凝土强度无任何影响。因此,建议混凝土挡浆板离杆端的距离不宜小于50mm,已足够安全。
一般情况下,加强管的外伸长度建议按下式确定:

式中:d——焊缝损伤影响区,d≥50mm;
δc——混凝土管厚度(mm),δc≤40mm;
c——其他构造要求。
采用内加强管时,当混凝土厚度较大时,承压挡桨板的内孔小,内加强管与外钢管相连的焊缝焊接困难,质量难以保证,采取把加强管下端切成锯齿形,用加长焊缝长度来补偿。
6.3 现场安装连接
6.3.1 剪力板螺栓和法兰盘螺栓连接常用于空心钢管混凝土杆塔结构。对接焊缝一般宜两面施焊或单面施焊后再补焊缝根。若受条件限制只能单面施焊时,则应在剖口处留足间隙,用二氧化碳气体保护焊打底,100%进行超声波检验。
当钢管壁厚 t≤8mm时,超声波检测对接焊缝的可靠性较差,若必须单面施焊时,接缝处必须留足间隙,并在管内加设环形垫圈,以保证施焊时焊条熔液不向管内流淌;或两端分别设置环形垫圈。垫圈的板厚不宜小于主管厚度的30%,并不得小于3mm。其伸入主管的宽度不宜小于50mm。
空心构件的现场安装连接的节点构造是在原行业标准《薄壁离心钢管混凝土结构技术规程》DL/T 5030-1996的基础上,总结近十多年的设计、加工、施工、安装和运行经验与试验研究的成果,提出了一些具有代表性的连接方式。
6.3.2 直接对接焊接连接,不仅构造简单,传力可靠,而且节省材料;但在分段垂直组装时,固定找正比较困难。
法兰板连接的方式,是将法兰板在工厂内焊在下节柱上,现场安装定位后,上节柱与法兰板用角焊缝焊牢。
为了起吊安装方便,可在杆端设置安装耳板(本规程图6.3.2-1),其它连接节点同此。若杆段在地面焊接,整体起吊时,也可不设安装耳板。有了安装耳板,安装时很方便,只要校正位置后,加上连接板和上下耳板连接起来即可。
6.3.3 套接连接都用于空心构件。套接段的长度一般不宜小于1.5D。但可根据塔架结构的不同用途,可适当增减。例如,用于送电线路的直线塔上,套接长度可取 Lt≥1.3D,对受力较大的转角塔,可加大到 Lt≥1.7D;这样可减小使用过程中塔架结构的变形。
套接管的抗弯承载力应大于该截面处钢管混凝土构件的极限抗弯承载力。它和加强管满足抗弯极限承载力的要求相同,见本规程公式(6.2.4-4)。
和本规程公式(6.2.4-4)计算加强管时的区别在于:计算加强管时,是加强管的厚度加主管的厚度之和,因此,本规程公式(6.2.4-4)中要减去主管的厚度 t0;在计算套接管时,只是套接管的厚度,因而不必减去主管的厚度。
6.3.4、6.3.5 剪力板螺栓连接是在上、下柱柱端分别焊一个由连接板、剪力螺栓(沿圆周均匀布置)和内钢管所组成的一对阴阳螺栓连接接头,到现场用螺栓相连。一般都采用法兰盘螺栓连接,但对连接部位要求平整不外凸时,可采用剪力板螺栓连接。螺栓连接不仅安装方便,而且还可大大缩短施工周期。
剪力板螺栓连接的构造和计算同普通钢结构。法兰盘螺栓连接分设有加劲肋的法兰(刚性法兰)和无加劲肋的法兰(柔性法兰)二种。其连接构造和计算方法,基本上是按照现行行业标准《架空送电线路杆塔结构设计规定》DL/T 5154中的有关规定提出的,只对其中法兰盘螺栓的计算公式进行了简化。
剪力板螺栓连接属于内法兰的一种连接形式,在实际工程中,尚有多种内法兰的连接方式。
设有外法兰的空心钢管混凝土构件的加强管的长度,要求超过加劲肋的高度,且不宜小于100mm,以承受由加劲肋顶部产生的局部压应力。
6.4 梁与柱的刚节点
6.4.2、6.4.3 加强环式的刚接节点(本规程图6.4.2-1),在正对钢梁的上下翼缘或混凝土梁的上下主筋位置,在管柱上用坡口对接熔透焊缝焊接带短梁(也称牛腿)的加强环。牛腿的尺寸和所连接的钢梁或混凝土梁相同。其翼缘的连接可用高强度螺栓,也可用对接焊缝,腹板的连接常采用高强度螺栓。
加强环式连接有关加强环板的计算主要是根据:钟善桐,白国良主编的《高层建筑组合结构框架梁柱节点分析与设计》(人民交通出版社,2006)提出的。
通常钢管混凝土柱采用的钢管较薄,因此,当梁柱节点中使管柱表面产生很大拉力时,会导致钢管发生局部塑性变形而破坏。试验证明,环绕管柱设置加强环板,可把局部拉应力均匀地传给整个管柱。对于角柱和边柱,为避免和围护结构冲突,可采用大于半环的环板,范围应超过180°,以免在拉力作用下,把钢管拉裂。对受力较小的连接节点,也可不设加强环板。但对管柱,应适当的局部加强,防止局部应力过大。
柱和钢梁、钢筋混凝土梁或钢-混凝土组合梁的连接节点的计算,可按照国家现行有关标准执行。
本规程图6.4.2-2表示了加强环与钢梁的连接有两种方法。即和梁翼缘的连接采用加连接板用高强螺栓连接(图中柱和左侧梁相连接),也可采用对接焊缝连接(图中柱和右侧梁相连接),设计时可任取。
本规程图6.4.3-1与图6.4.3-2表示了加强环与钢筋混凝土梁的连接有两种方法。即钢筋与环板焊接,以及钢筋通过钢筋套筒与牛腿上的带孔钢板连接件连接。两种连接节点形式均为刚接。
通过对节点进行低周往复试验,验证了采用套筒连接的无焊接节点与钢筋焊接节点均具有良好的抗震性能,延性系数大于5,且满足刚接节点特性。试验获得滞回曲线参见图12(相关研究参见查晓雄、于航《现场施工完全无焊接钢管混凝土节点抗震性能研究》,工业建筑,2011)。
图12 钢筋套筒连接节点滞回曲线
此外,有限元模拟验证说明,节点薄弱环节位于混凝土梁与牛腿截面交界位置。改变牛腿及环板翼缘厚度对节点承载能力影响较小,而增加牛腿长度可有效提高节点承载能力,见图13。

图13 不同参数对钢筋套筒连接节点承载能力的影响
6.4.4、6.4.5 本条对钢梁和混凝土梁都适用。
6.5 工业厂房柱
6.5.1 实心圆形钢管混凝土柱自上世纪60年代开始,就广泛用于工业厂房。空心钢管混凝土厂房方面,徐州三元杆塔有限公司的钢管混凝土离心浇灌混凝土加工车间,采用了空心钢管混凝土三肢格构柱,车间内有20T桥式吊车,属于轻工业厂房;山东齐星铁塔科技股份有限公司工业厂房车间,采用空心钢管混凝土柱,内有10T桥式吊车;南京环力重工厂房,采用空心钢管混凝土柱,4跨,吊车重量分别是50T/20T/10T。
6.5.2 阶形组合柱的设计,和钢结构柱的设计完全相同。
6.6 柱和基础的连接
6.6.1、6.6.2 在送变电构架中,由于风荷载和水平导(地)线张力的作用,钢管混凝土立柱将受拉力作用。在框架结构中,有固接框架和铰接框架。本规程图6.6.1-1、6.6.1-2是常用的两种连接方式。图6.6.1-1和图6.6.1-2均为空心构件的柱脚构造,实心构件也相同。
6.6.3 插入杯口式柱脚插入深度:送变电杆塔柱的规定取自原协会标准《空心钢管混凝土结构技术规程))CECS 254:2009,高层建筑柱、厂房柱及其他柱的规定取自原行业标准《钢-混凝土组合结构设计规程》DL/T 5085-1999。当柱下端受力较大时,都应把柱埋入基础。对于空心构件应将构件下端的一段空心部分灌满混凝土,以提高这部分的刚度。
6.7 钢管混凝土桩
钢管混凝土桩既具有钢管桩和混凝土桩所具有的优点,又可避免这两种桩在单独使用条件下的弱点。钢管混凝土桩由于内部存在混凝土,大大提高了它的抗压承载力,也提高了抗震、抗冲击变形的能力,同时还解决了钢管内壁的防腐问题。与混凝土桩相比,因不需要模板,不受钢模板规格的限制;可根据工程需要,生产任意规格和长度的管桩。与钢管桩相比,可节约钢材30%~50%,相应降低工程造价20%~40%。日本1972年就开始使用空心钢管混凝土桩,上海宝钢工程建设中曾用到6000根共400000m长的空心钢管混凝土桩。
6.7.1 本条是根据现行行业标准《建筑桩基技术规范》JGJ 94的有关规定提出的。
桩身的轴心抗压和弯曲抗压的承载力除按本规程有关规定进行计算外,尚应遵照现行行业标准《建筑桩基技术规范》JGJ 94的有关规定。
由于钢管混凝土桩的钢管内存在混凝土内衬管的支撑,外钢管不可能产生局部压屈失稳;因此,对于打入式钢管混凝土桩,不必进行外钢管的局部稳定验算。
表10的管桩截面规格仅供参考。可根据实际工程的条件及材料,采用不同的截面规格。
表10 管桩截面规格表

注:表中截面外径圆刮号中的数子是管桩生产的外直径。
6.7.2 桩头采用外加强管的方式,以加强桩头承受冲击力的能力。加强管的极限抗压承载力主要考虑以下三方面的因素:
1 离心混凝土抗压强度提高10%,取提高系数1.1;
2 钢管对混凝土的紧箍效应使混凝土的抗压强度得以提高,取提高系数1.3;
3 考虑桩头受冲击力的影响。
据此,根据加强管的极限承载力大于桩身混凝土的极限抗压承载力的条件,得出:
实心钢管混凝土:

空心钢管混凝土:

1.43取整为1.5(对于实心钢管混凝土更加安全),由此得本规程公式(6.7.2)。此式是指圆形截面桩,因钢管混凝土桩常用圆形。
As和Ac分别是加强管和混凝土管的截面面积;f 和 fc分别是钢材和混凝土的抗压强度设计值,β 是冲击系数。这里 D 值取加强管的外直径。
6.7.3、6.7.4 为使槌击产生的作用力能均匀地传到桩头的混凝土截面上,应在档浆板与管壁间设置相当数量的加劲板。
桩的拼接可采用现场对接焊接,也可采用内法兰盘螺栓连接。管桩的端部形式,应根据桩所穿越土层、桩端持力层性质、桩的尺寸、挤土效应等因素,综合考虑确定。其构造要求和计算方法与钢管桩完全相同,只要将它可靠地焊接在空心钢管混凝土桩的桩端即可。
7 钢管混凝土构件的加工制作与施工
7.1 钢管的加工制作
7.1.1 设计文件是加工制作的直接依据。对于设计文件中没有明确要求的,应符合现行相关国家标准和现行行业标准的规定。加工工艺设计应结合生产厂的设备、技术条件来制定。主要原材料必须符合本规程和现行国家相关标准的规定。
7.1.2 钢管加工精度应满足本规程要求。本规程特别强调空心钢管构件的椭圆度和弯曲度,钢管椭圆度直接影响离心浇筑混凝土壁厚的均匀性,钢管弯曲变形对构件受压承载力有直接影响,因此必须严格限制。
7.1.3 焊接收缩量和加工余量的预留,主要是为了对制作过程中的偏差进行预控,必须保证产品成型后的构件尺寸要求。
7.1.4、7.1.5 焊缝的施工和质量检验都应符合设计文件和现行国家标准《钢结构焊接规范》GB 50661规定。
7.1.6 直缝焊接钢管应尽可能减少纵缝数量。纵缝的数量取决于钢板板材的宽度,对于大管径的钢管,可能有多道纵缝。考虑焊接会对钢材性能产生影响,因此规定等直径钢管相邻纵缝间距不宜少于300mm。
7.1.7 当钢管采用卷制方式加工成型时,由于钢板宽度的尺寸限值,对于制作单元较长的构件可允许适当增加接头。深化图纸设计时接头位置尽量靠近反弯点,原则上接头数量不宜超过4个。
7.1.8 焊缝质量检验,对全焊透的二级焊缝考虑钢管混凝土的受力重要性,对抽样检查的比例适当进行了提高。由于现场条件或几何条件受到限制,钢结构制作或施工中存在大量节点焊缝检测按B级检验无法进行单面双侧检测,增加了可在焊缝单面、单侧采用两种角度探头(两角度之差大于15度)进行检测。
7.1.10 超出规范允许范围的缺陷属质量事故,必须查明缺陷产生的原因,不得随便处理。必须制定修补工艺指导,以处理施工。返修会影响钢材性能,增加局部应力,严重影响构件的质量,应限制返修次数。
7.1.11 坡口的规定是为了保证构件能焊透,坡口型式应与焊接工艺相匹配。
7.1.12 校正方法应根据实际需要选用,温度控制是为了避免校正可能改变钢材的性能。
7 钢管混凝土构件的加工制作与施工
7.1 钢管的加工制作
7.1.1 设计文件是加工制作的直接依据。对于设计文件中没有明确要求的,应符合现行相关国家标准和现行行业标准的规定。加工工艺设计应结合生产厂的设备、技术条件来制定。主要原材料必须符合本规程和现行国家相关标准的规定。
7.1.2 钢管加工精度应满足本规程要求。本规程特别强调空心钢管构件的椭圆度和弯曲度,钢管椭圆度直接影响离心浇筑混凝土壁厚的均匀性,钢管弯曲变形对构件受压承载力有直接影响,因此必须严格限制。
7.1.3 焊接收缩量和加工余量的预留,主要是为了对制作过程中的偏差进行预控,必须保证产品成型后的构件尺寸要求。
7.1.4、7.1.5 焊缝的施工和质量检验都应符合设计文件和现行国家标准《钢结构焊接规范》GB 50661规定。
7.1.6 直缝焊接钢管应尽可能减少纵缝数量。纵缝的数量取决于钢板板材的宽度,对于大管径的钢管,可能有多道纵缝。考虑焊接会对钢材性能产生影响,因此规定等直径钢管相邻纵缝间距不宜少于300mm。
7.1.7 当钢管采用卷制方式加工成型时,由于钢板宽度的尺寸限值,对于制作单元较长的构件可允许适当增加接头。深化图纸设计时接头位置尽量靠近反弯点,原则上接头数量不宜超过4个。
7.1.8 焊缝质量检验,对全焊透的二级焊缝考虑钢管混凝土的受力重要性,对抽样检查的比例适当进行了提高。由于现场条件或几何条件受到限制,钢结构制作或施工中存在大量节点焊缝检测按B级检验无法进行单面双侧检测,增加了可在焊缝单面、单侧采用两种角度探头(两角度之差大于15度)进行检测。
7.1.10 超出规范允许范围的缺陷属质量事故,必须查明缺陷产生的原因,不得随便处理。必须制定修补工艺指导,以处理施工。返修会影响钢材性能,增加局部应力,严重影响构件的质量,应限制返修次数。
7.1.11 坡口的规定是为了保证构件能焊透,坡口型式应与焊接工艺相匹配。
7.1.12 校正方法应根据实际需要选用,温度控制是为了避免校正可能改变钢材的性能。
7.2 钢管混凝土构件除锈、防腐涂装
7.2.1 本规程的构件防腐涂装工艺是常用的方式,设计人员可根据具体工程情况进行涂装设计。防腐涂装的热镀锌、喷涂锌、涂漆等工艺、技术规程及涂层质量检测标准等都应符合相应的国家现行标准的规定。建议防腐施工都应在混凝土浇筑前进行,尤其是空心钢管混凝土,因为混凝土离心浇筑后进行防腐施工除锈时,容易造成钢板热膨胀,致使钢板与混凝土产生间隙,养护后会有局部“空鼓声”。
7.2.2、7.2.3 热镀锌防腐涂装对工件经酸洗除锈后,浸入500℃左右热浸镀锌熔池数分钟,使工件沾满锌液,再提出工件浸入常温水中冷却形成热镀锌层。热镀锌防腐涂装的问题是:构件尺寸受熔池限制,浸入温度高时,对长的薄壁工件易产生变形,酸洗除锈残存酸液会腐蚀镀锌层,镀层缺陷难以修复。热镀锌防腐的防护寿命在10~15年左右。热镀锌防腐只能在工厂施工。对于空心钢管混凝土构件的钢管,当钢管壁厚度大于12mm时,可在离心浇筑混凝土前采用热镀锌工艺。
所提防腐方法是该产品工厂化生产的主要方法。
7.2.4 喷涂锌可以现场施工,甚至可以高空作业。镀层厚度可控,对工件热影响很小,缺陷易修复,防护寿命在30~50年左右。应注意下列要求:
1 喷涂锌防护设计、施工、验收的现行标准依据。
2 喷砂工艺的选择可根据具体情况确定,工厂生产可选择喷河砂、喷铁砂、流水抛丸等多种方式。现场受条件影响时,可以选用人工喷河砂或设备磨削的方式。工件基体表面必须达到除锈等级要求。
3 喷涂锌材料无论锌丝还是粉末,必须具有高纯度,才能保 证锌涂层质量。
4 对喷砂后的时间间隔及环境的约束是为了保证基体表面的质量,从而保证喷涂锌层的结合能力。当基体表面出现二次污染时,必须重新处理。
5 喷涂锌的环境条件要求是保证喷涂锌层质量的前提,必须保证基本的环境条件要求。
6 薄壁钢管在喷砂时会发热,容易产生变形。因此,应考虑工装或调整喷砂流量的合理性,减少因发热造成的钢管变形。
7 锌涂层厚度与构件的防护年限有关。锌涂层越厚,防护年限越长,但喷涂锌时易脱皮;锌涂层越薄,防腐年限越短,但喷涂锌结合力强。锌涂层厚度的要求应考虑环境、用途等因素确定。锌涂层厚度的要求是根据环境介质对结构的腐蚀性而按50年防护寿命规定的。锌涂层厚度最低不得小于100μm。否则喷涂锌就丧失意义。
8 封闭漆一般选用渗透力强的油漆,能更好地渗入喷锌后的微细孔中,起到隔离封闭作用,封闭漆可以提高防护能力3~5年。
7.2.5 油漆防腐涂装根据使用环境和工程要求确定其材料及工艺,工艺的编排应根据防护设计要求确定。
7.3 实心钢管混凝土的浇灌
实心钢管混凝土构件都在现场进行混凝土的浇灌。当管内另部件较少时,宜优先采用自密实混凝土;不需震捣,施工方便简捷,节省时间。其次是采用分段浇灌并振捣。顶升浇灌法,适用于低层建筑和单层工业厂房柱,这时,钢管柱内不应有隔板等零部件,否则,将提高混凝土的泵送压力,发生事故。
7.4 离心法生产空心钢管混凝土构件的技术要求
7.4.1 氯盐对钢管有腐蚀作用,易造成构件强度的损伤,因此禁止使用。但实心且封闭性良好的可采用海砂混凝土。
7.4.2 指出混凝土配合比的设计和确定原则。
7.4.3 工序间的验收根据工程实际情况确定验收内容。因为混凝土浇筑后产品不易返修,因此工序间的验收十分必要。
7.4.4 只有外加钢模离心工艺,转速可达到1200~1600转/分,其余方式只能达到600~700转/分,混凝土密实度达不到要求;拔稍杆型不采用钢模,不能保证其同心度;同时外加钢模可以保护钢管防腐层不受破坏。
7.4.5 养护方式优先使用蒸汽养护,如条件限制,可采用自然养护。
7.4.6、7.4.7 混凝土厚度的允许偏差及混凝土强度等级应符合现行国家标准《混凝土结构工程施工质量验收规范》GB 50204的规定。试件制作可采取同步取样、人工振捣和平台振捣等方法。
7.5 钢管混凝土结构的施工
7.5.1 施工现场质量管理应具有相应的施工技术标准。施工技术标准指与有关的各种技术标准,包括工艺标准、验收标准以及工程有关的材料标准、检验标准等,也包括与工程有关的企业标准、施工方案及作业指导书等。
本规程与统一标准及各专业验收规范一致。除符合本规程的规定外,应当遵守现行国家相关的标准。
7.5.2 对钢管混凝土结构施工的建筑企业资质要求。可按国家现行规定具备相应的承包钢结构(或电力工程)的施工资质执行。
7.5.3 构件进场验收除应符合本规程的规定外,还应符合现行国家标准《建筑工程施工质量验收统一标准》GB 50300及各专业工程施工质量验收规范的规定。构件进场检查,首先对质量证明文件及型号、规格、外观和尺寸等进行检查验收,经监理工程师或建设单位代表核准,形成相应的记录。对质量证明文件的核查,主要包括构件质量合格证及相关性能检测报告等,质量证明文件应纳入工程技术档案。
7.5.6~7.5.9 是对钢管混凝土结构的施工与相关其他建筑结构标准保持一致的要求。
7.6 钢管混凝土构件的检验、标志和保管
7.6.1 构件的检验是产品出厂前的最后检验,构件最终质量检验资料一般应保存3年。
7.6.2 构件永久标志便于构件质量的追溯,标志位置可按企业标准执行。例如:电力塔架标志可在构件的下端以上200mm处。
产品临时标志应考虑方便施工等因素,可标志工程名称、规格代号。例如:电力杆塔呼15m双回240转60度上段。
7.6.3 出厂证明文件应以“产品质量合格证”为主,其他根据合同约定提供。
7.6.4、7.6.5 堆放的要求是为了避免重力弯曲和受压损伤。在构件混凝土强度还没有达到混凝土的设计强度的情况下,堆放不当极易造成质量事故。产品的绑扎、吊运,必须保护涂层不受损坏。
8 防火设计
8.0.1 标准火灾升温曲线下构件的钢管混凝土构件无保护层耐火时间的计算按照本规程附录C.0.4条计算得到,防火计算需要反复迭代或试算,由于公式形式相对复杂,考虑到火灾下钢管软化较快,因此,进一步简化,在计算组合强度时不考虑套箍作用,则最终火灾下的承载力折减系数可以表示为:

其中,常温和高温下的稳定系数公式中对应的组合强度也不考虑套箍作用。根据上式可知:
当承载力折减系数ksc等于荷载比nf时,此时对应的时间即为构件的耐火时间,通过对承载力折减系数的分析发现:
1 柱高在1m~5m范围内,高度对承载力折减系数的影响较小,在此都按4m来计算;
2 其他条件相同时,钢材的强度提高会提高构件的耐火性能,反之,混凝土的强度提高会减低构件的耐火性能;偏于安全,简化计算中取钢材为Q420,混凝土为C30;
3 钢管的厚度对承载力有一定的影响,但是影响有限,根据常见取值范围,偏于安全取10mm;
4 外径、空心率和荷载比对构件的承载力折减影响非常明显,必须考虑。
为了方便设计,基于上面的分析和假定,通过迭代插值得到不同外径、空心率和荷载比下的构件耐火时间取值表,具体见本规程表8.0.1。
8.0.2 当防火材料为非膨胀型涂料时,取常用涂料导热系数 λ=0.116W/(m·℃)时,根据本规程附录C.0.7条公式计算可得表8.0.2-1、表8.0.2-2。当涂料导热系数同上述值相差很大时,应按照本规程附录C.0.7条公式计算。
8.0.3 当防火保护层为水泥砂浆时,水泥砂浆的热工参数系数取:
1 密度 ρs=2150kg/m3;
2 导热系数

3 比热

(孙金香,高伟译,建筑物综合防火设计,天津科技翻译出版公司,1994:761-762),根据本规程附录C.0.7条公式计算可得表8.0.3-1、表8.0.3-2。
由于产品或构造工艺、原材料的性能差别,建议设计时可参考上述方式进行保护层厚度设计。为真实体现使用产品、施工工艺或构造之间的差异,应有典型构件的耐火试验结果为设计、验收依据。当实验报告所采用的构件截面或形式与实际工程不同时,应常用本文的方法对防火保护构件的耐火性能进行评估,评估结果作为设计或验收依据,以保证防火保护的可靠性。可参考的国家现行标准有《钢结构防火涂料》GB 14907-2002和《建筑构件防火喷涂材料性能试验方法》GA 110-1995。
8.0.4 当温度超过100℃时,核心混凝土中的自由水和分解水会发生蒸发现象。为了保证钢管和混凝土之间良好的共同工作,以及结构的安全性,应设置排气孔。对于长柱,仅在楼层位置设置排气孔不能保证充分排气,排气孔纵向间距不宜超过6m。
附录C 钢管混凝土构件防火计算方法
C.0.1 本规程采用的升温曲线为国家标准《建筑构件耐火试验方法》(GB/T 9978.1-2008)6.6.1节中规定的升温曲线,也是国际标准ISO 834推荐的升温曲线。
火灾对构件的作用主要体现在使构件升温,从而影响材料的强度,最终影响构件的整体承载力。构件随着外部边界的升温而产生传导现象,导致材料逐步升温。外部升温条件的不同会导致构件的温度场分布不同,从而极大的影响构件的承载力,由于真实火灾具有多样性,为了统一衡量构件的耐火性能,目前基本上是采用基于标准火灾升温曲线,其中ISO-834标准火灾升温曲线是目前应用最广的。因此,在火灾安全性设计时,采用ISO-834标准火灾升温曲线。对于需要进行真实火灾的性能化设计时,可以采用相关的分析软件进行。
C.0.2 高温下,钢材和混凝土的强度会随着温度的升高而下降,目前采用较多的是T.T.Lie的实验数据,欧洲规范中也是采用他的数据。由于它采用的是高温下钢材和混凝土的强度和弹性模量,用分段函数或表格的形式给出;为了方便采用计算,构造新的函数对其重新回归,最终得本规程公式(C.0.2-1)~(C.0.2-4)。(Lie T T.Structural Fire Protection:Manual of Practice,ASCE
Manual and Reports On Engineering Practice,No.78[M].New
York:American Society of Civil Engineers,1993。EN 1994-1-2:2005.Design of Composite Steel and Concrete Structures Part
1.2:General Rules,Structural Fire Design,Brussels[S].British Standards Institution,2005.)。
C.0.3 对于圆形钢管混凝土,由于钢管较薄且钢材的导热性能好,可以将钢管的传热为集总传热,即温度处处相等,因此钢管混凝土的多区域传热问题简化为带薄膜的混凝土传热问题。采用格林函数法,对圆环形截面在第一类和第二类边界条件下的温度场进行解析分析,发现在火灾温度为ISO-834升温曲线时,钢管的升温曲线只和钢管的厚度有关,而混凝土的平均温度除了和钢管厚度有关外,还和傅里叶数有关,也即还和混凝土的厚度有关。根据先前的理论分析设计了大量的算例进行参数分析,参数分别为:混凝土厚度、钢管厚度和空心率。混凝土的厚度考虑12种情况:60mm,90mm,120mm,150mm,180mm,210mm,300mm,350mm,400mm,450mm,500mm,550mm;钢管的厚度考虑了7种情况:3mm,6mm,9mm,12mm,15mm,18mm,21mm;空心率考虑7种情况:0,0.25,0.35,0.45,0.55,0.65,0.75,进行排列组合共588种情况,参数的取值几乎覆盖了工程中常见的尺寸范围,部分算例的尺寸超出了工程常见的取值范围,其作用主要是为了使得回归公式更合理。通过有限元方法对钢管混凝土在算例情况的温度场进行求解,并结合理论分析得到的公式构造函数对结果进行拟合,最终得到钢管的温度和混凝土的温度,在ISO-834标准火灾升温条件下,钢管的温度和混凝土的平均温度分别按本规程公式(C.0.3-1)和公式(C.0.3-3)计算。
为了进一步验证上面公式的有效性,另外按工程常用的三个参数进行算例设计,它们分别是:钢管的外径,钢管的厚度,空心率。其中,钢管的外径 D 考虑6种情况:200mm,400mm,600mm,800mm,1000mm,1200mm;钢管的厚度 d 考虑了6种情况:3mm,6mm,9mm,12mm,15mm,18mm;空心率考虑6种情况:0,0.25,0.35,0.45,0.55,0.65;共计216种情况,计算结果和公式结果吻合良好。按均匀设计的方法抽取6种算例结果(钢管温度和混凝土平均温度)和实验进行对比,公式计算结果和有限元的结果吻合得非常好。
C.0.4 认为火灾下构件的组合强度和常温下的公式一致,只是对应的材料强度按高温下的参数取值,由于钢管很薄,且导热性好,因此可以认为钢管的温度处处相等。对于混凝土,由于存在温度梯度,为了统一,采用混凝土的平均温度来统一衡量混凝土的强度变化。因此最终火灾下构件的强度根据静力公式扩展得本规程公式(C.0.4-1)。

当混凝土的折减系数为简化为线性变化时,可采用平均温度计算材料的强度折减,考虑温度的不均匀性,混凝土的平均温度按图14中的小值计算,即:
图14 钢管混凝土强度折减系数(稳定系数)随温度的变化曲线
火灾下构件的强度承载力应按下式计算:

火灾下构件的稳定承载力应按下式计算:

式中:φT——t 时刻,钢管混凝土的稳定系数,按本规程公式(C.0.4-6)计算。
在常温下,影响构件的稳定系数的主要因素有两个,一个是正则长细比,另一个是等效初始偏心。对于正则长细比,根据统一理论的思想,可以将不同时刻的钢管混凝土看成是一种单一材料组成的构件,对应的参数按不同时间点的材料性质来确定,计算公式和常温相同。对于等效初始偏心系数,由于高温的影响,在这里考虑到高温对残余应力的影响,稳定系数按类似钢结构的“b”类截面考虑(类似于欧洲规范中的“c”类截面)。
高温下的稳定系数同样根据静力公式扩展而来,高温下的稳定系数计算公式如下:

式中:λ Tsc——高温下的正则长细比,
;
λsc——构件的长细比;
f Tsc——t 时刻,钢管混凝土的强度设计值,按公式(C.0.4-1)计算;
E Tsc——t 时刻,钢管混凝土的弹性模量,按公式(C.0.4-7)计算。
通过上面的分析知道,高温下构件的承载力公式和常温的类似,其中主要的不同是材料的参数在高温下发生了变化,为了验证上面公式是否正确,对国内外,60个圆形钢管混凝土耐火实验和49个正方形钢管混凝土耐火实验进行了验证。其中,圆形截面预测荷载和实验荷载的比值的均值为1.044,方差为0.143;方形截面预测荷载和实验荷载的比值的均值为1.027,方差为0.100;对于防火研究来说,吻合得较好,见图15。

图15 买验荷载和预测荷载的比较
C.0.5 标准火灾升温曲线下构件的耐火时间的简化计算应符合下列规定:
以上防火计算需要反复迭代或试算,经分析,提出简化计算公式。
根据对原始公式的图像分析,发现:
1 柱高在1m~5m范围内,对承载力折减系数的影响较小。因此简化公式按4m的长度计算;
2 其他条件相同时,钢材的强度提高会提高构件的耐火性能,反之,混凝土的强度提高会减低构件的耐火性能;偏于安全,简化计算中取钢材为Q400,混凝土为C30;
3 钢管的厚度、外径还有空心率对构件的承载力折减影响比较明显。
火灾下的承载力折减系数简化为:

式中:t ——时间,min;
d ——钢管厚度,m;
D ——钢管外径,m;
Ψ——空心率。
按本规程公式(C.0.5-1),假设无保护层时,算出承载力折减系数 kT。令荷载比 nf=kT。由公式(C.0.5-3),确定无防火保护层时的耐火时间t,当荷载比 nf>0.7时,应采用精确法计算,同时建议采用精确方法核对简化方法的结果,以精确方法为准。
C.0.6 空心钢管混凝土柱可利用管内无混凝土的空心部分,作为火灾时自动注水,以使构件降温,保护柱子不破坏。表11示不同火荷载比下,空心注水构件的耐火时间有限元结果。从表11中可以看出,在火荷载比较大的情况下,如:H-CFST-1,火荷载比大于0.3,H-CFST-2火荷载比大于0.4时,注水对提高构件耐火时间的作用非常有限。而当荷载比较小时,注水能很显著的提高构件的耐火时间。如火荷载比为0.1时,注水构件的耐火时间超过4h。因此可以看出注水对耐火时间的提高主要针对大空心率构件和小火荷载比的情况。
表11 不同火荷载比下空心注水构件的耐火时间(分钟)有限元结果

注:火荷载比为1时,即为极限荷载,认为耐火时间为0。
表12示几个空心构件的火灾实验结果汇总。无防火保护层时,其耐火时间都不到3h。
表12 防火实验结果汇总

C.0.7 当防火材料为非膨胀型涂料时应符合下列规定:
防火材料主要是阻挡或延缓外部热流向构件内部的传热,从而起到滞后构件升温的作用,延长构件的耐火时间。根据已有文献的实验现象,发现带保护层的构件的升温过程和没有保护层的构件类似。
当钢管温度相同时,有保护层构件所用的时间 t'e和没有保护层的构件所用的时间 t'0,存在下面的关系:

当混凝土的平均温度相同时,有保护层构件所用的时间 t''e和没有保护层的构件所用的时间 t''0,存在下面的关系:

对于同一构件,当 t'0=t''0=t 时,t'e<t''e。即在相同的荷载条件下,带保护层的钢管混凝土的耐火时间在 t'e和 t''e之间。取构件耐火时间为:

因此,非膨胀型涂料厚度可以按下面的公式计算:

其中:d ——保护层厚度,mm;
λ ——保护层的导热系数,W/(m·℃);
t ——没有保护层时,构件的耐火时间,min。可以根据C.0.5条反算得到;
te——加保护层后希望达到的耐火时间,min。
当构件在没有涂防火涂料时耐火时间大于期望达到的耐火时间时,可以不进行防火保护。
当防火保护层为水泥砂浆时:
在不带保护层温度场求解算例的基础上,增加保护层厚度这个参数,采用水泥砂浆作为保护层,热工参数见(孙金香,高伟译,建筑物综合防火设计,天津科技翻译出版公司,1994:761-762)。根据哈工大深圳研究生院《钢管混凝土结构在常高温及冲击下连续性理论的研究》有:当钢管温度相同时,有保护层构件所用的时间 t''e和没有保护层的构件所用的时间 t''0,存在下面的关系:

当混凝土的平均温度相同时,有保护层构件所用的时间 t'e和没有保护层的构件所用的时间 t'0,存在下面的关系:

对于同一构件,当 t'0=t''0=t0时,t'e<t''e。在相同的荷载条件下,带保护层的钢管混凝土的耐火时间在 t'e和 t"e之间,则取耐火时间为:
因此,水泥砂浆的厚度可以按下面的公式计算(计算中已计入水泥砂浆的导热系数):

式中:d——保护层厚度,mm;
t ——没有保护层时,构件耐火时间,min;
te——涂保护层后希望达到的耐火时间,min。
当构件在没涂水泥砂浆的情况下的耐火时间大于期望达到的耐火时间时,可以不进行防火保护。
由于产品或构造工艺、原材料的性能差别,建议设计时可参考上述方式进行保护层厚度设计,但应有典型构件的耐火试验结果为设计、验收依据,以便真实体现使用产品、施工工艺或构造之间的差异。当验证实验报告所采用的构件截面或形式与实际工程不同时应选用适当的方法对有关防火保护构件的耐火性能进行评估,评估结果作为设计或验收依据。以保证防火保护的可靠性。
可参考的国家现行标准有《钢结构防火涂料》GB 14907-2002和《建筑构件防火喷涂材料性能试验方法》GA 110-1995。
C.0.8 实验研究表明,再生混凝土的内部孔隙率要高于普通混凝土,这样使得再生混凝土的导热系数要小于普通混凝土,这样就促使再生混凝土的升温更慢,因此钢管再生混凝土较钢管混凝土的承受火荷载能力要更高。故实际工程中,当钢管再生混凝土的涂料厚度和钢管混凝土的一样时,钢管再生混凝土的耐火性能要适当提高,钢管再生混凝土的涂料厚度可以适当降低。
leon 2017-09-01这是我看到了最好用的一个建筑施工竣工验收统一用表网站,不光让提供企业级资料的统一监管,而且提供大量的免费资料,已经购买了此公司的模板,使用还可以,只是操作培训方面需要加强,不然有很多功能都不知怎么使用? | |
goooogle 2017-08-28范例不错,但有些范例的填写数据太少了些,希望可以改进。 | |
曾工 2017-08-11如果有培训视频就好了,每个省出的统表都不一样,都不知什么使用,关键还是培训要跟上。 | |
游客 2017-08-01如果购买了,在工程中使用不知是否方便,真的能在手机上,在工地上方便的编制表格吗? | |
邓为墉 2017-07-08感觉还可以,但有些表格是要购买才可以查看的,并没有全部免费啊。 | |
歌手The 2017-07-03提供填写说明和填表范例很有价值,在手机和电脑上都可以查看,非常方便,真的是随时随地使用的。 | |
林工 2017-06-12资料很有用,而且结构清晰,表格规范,关键是的可以免费使用,华软公司真是良心公司啊! | |
李天一 2017-06-11此资料是否是免费的? | |
张工 2017-05-21是否是最新版本的规范 | |
游客 2017-05-01这是最新版本的的统一用表吗? |